Question

In: Physics

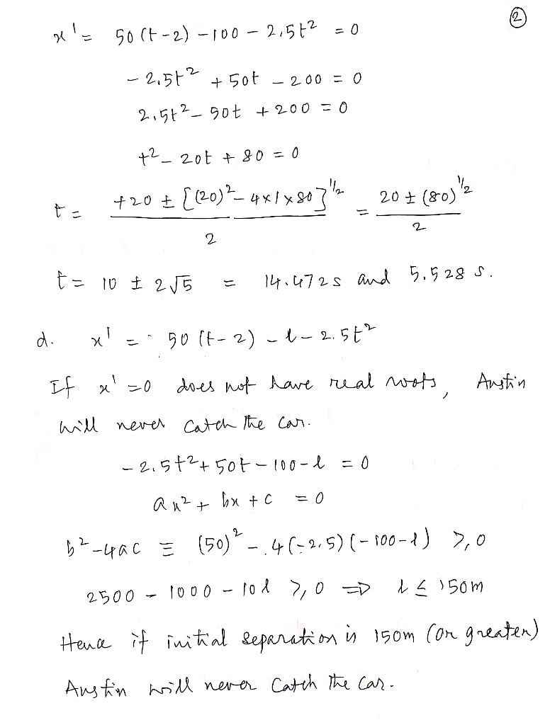
In the television show “The Six Million Dollar Man”, Colonel Austin had superhuman powers. In one...

In the television show “The Six Million Dollar Man”, Colonel Austin had superhuman powers. In one episode, he tries to catch a man fleeing in a sports car. We’ll assume in this problem that the distance between them at t=0 is 100 m. The car starts at rest. At t = 0.0 s, the driver notices Colonel Austin. From then on, the car accelerates at 5.0 m s -2 , away from Austin. Sweet, but a bit slow on the uptake, Colonel Austin remains motionless until t = 2.0 s, at which point he begins his pursuit, at a constant speed of 50 m/s. a) How far ahead is the car when Colonel Austin begins to move? b) At what time (t>0) is Austin furthest ahead of the car? And what is that separation? c) At what time(s) does Austin catch the car? d) What is the critical initial separation (all other parameters remaining the same) beyond which Colonel Austin will never catch the car?

Solutions

Expert Solution


Related Solutions

The television show Law & Disorder has been successful for many years. That show recently had...
The television show Law & Disorder has been successful for many years. That show recently had a share of 23, meaning that among the TV sets in use, 23% were tuned to Law & Disorder. Assume that an advertiser wants to verify that 23% share value by conducting its own survey, and a pilot survey begins with 13 households have TV sets in use at the time of a Law & Disorder broadcast. Find the probability that none of the...
The television show Green’s Anatomy has been successful for many years. That show recently had a...
The television show Green’s Anatomy has been successful for many years. That show recently had a share of 20, meaning that among the TV sets in use, 20% were tuned to Green’s Anatomy. Assume that an advertiser wants to verify that 20% share value by conducting its own survey, and a pilot survey begins with 12 households have TV sets in use at the time of a Green’s Anatomy broadcast. (Round answers to four decimal places) Find the probability that...
A recent broadcast of a television show had a 10 share, meaning that among 6000 monitored...
A recent broadcast of a television show had a 10 share, meaning that among 6000 monitored households with TV sets in​ use, 10​% of them were tuned to this program. Use a 0.01 significance level to test the claim of an advertiser that among the households with TV sets in​ use, less than 15​% were tuned into the program. Use the​ P-value method. Use the normal distribution as anapproximation of the binomial distribution A) Identify the null​ hypothesis, and alternative​...
. The CBS television show 60 Minutes recently had a (market) share of 20, meaning that...
. The CBS television show 60 Minutes recently had a (market) share of 20, meaning that 20% of TV sets in use were tuned to 60 Minutes during its airing hour. An advertiser wants to conduct its own survey of 200 households using the 20% share value. Using the normal approximation to the binomial, with X=number of TV sets tuned to 60 Minutes at the appropriate hour, compute (a) P(X equal to or less than 35), (b) P(X is between...
4. An albino man marries a normally-pigmented woman who had an albino mother. Show the types...
4. An albino man marries a normally-pigmented woman who had an albino mother. Show the types of children that this couple may have and the proportions of each. (Albino is recessive; normal is dominant).
2. You just won a Million Dollar lottery and you can choose one of the following...
2. You just won a Million Dollar lottery and you can choose one of the following two options to claim your winning. If you choose Option A, you will receive $40,000 every year for 25 years (40,000 x 25 = $1,000,000 hence the name), with the first payment to occur one year from today. But you may also choose Option B, in which case you will receive a single payment of $600,000 today. The applicable tax rate for the annual...
Use z scores to compare the given values. The tallest living man at one time had...
Use z scores to compare the given values. The tallest living man at one time had a height of 251 cm. The shortest living man at that time had a height of 48.3 cm. Heights of men at that time had a mean of 176.23 cm and a standard deviation of 7.79 cm. Which of these two men had the height that was more extreme?
The​ parlor's second month results show that it made six sales at ​$25​, one at ​$48​,...
The​ parlor's second month results show that it made six sales at ​$25​, one at ​$48​, one at ​$64, three at ​$76, three at ​$107, and two at ​$121. Calculate the standard deviation for this data set. Does your answer for the standard deviation indicate that this is a normal​ distribution? If​ not, what are the​ implications? A. Yes More than​ 68% of the values are within one standard deviation from the mean. This means that future sales will not...
Jack and Jill Jones are considering the purchase of a one-thousand-dollar par value bond that pays a six percent coupon.
  Jack and Jill Jones are considering the purchase of a one-thousand-dollar par value bond that pays a six percent coupon. The bond that they are considering has no default (credit) risk. Coupon interest payments are made semi-annually. There are exactly eight-years remaining until maturity. This bond’s market price is equal to $1,019.00. What is the yield-to-maturity for this bond? 3.70 percent 4.70 percent 5.70 percent 6.70 percent Jack and Jill Jones are considering the purchase of a one-thousand-dollar par...
Victor, a 25-year-old man, has had surgery to remove one of his testicles due to seminoma....
Victor, a 25-year-old man, has had surgery to remove one of his testicles due to seminoma. Can he still father a child? Explain your answer as if you were talking to another healthcare professional
ADVERTISEMENT
ADVERTISEMENT
ADVERTISEMENT