Question

In: Advanced Math

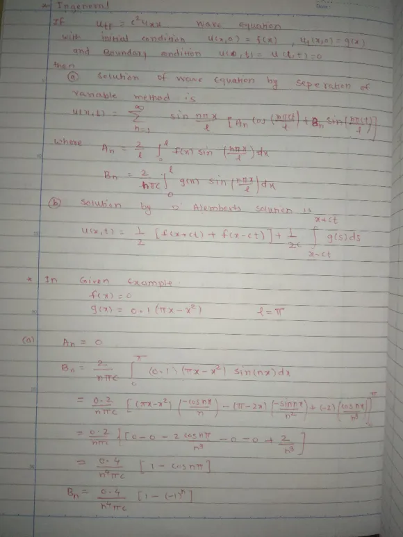
For the wave equation, utt = c2uxx, with the following boundary and initial conditions, u(x, 0)...

For the wave equation, utt = c2uxx, with the following boundary and initial conditions,

u(x, 0) = 0

ut(x, 0) = 0.1x(π − x)

u(0,t) = u(π,t) = 0

(a) Solve the problem using the separation of variables.

(b) Solve the problem using D’Alembert’s solution. Hint: I would suggest doing an odd expansion of ut(x,0) first; the final solution should be exactly like the one in (a).

Solutions

Expert Solution


Related Solutions

Consider the following wave equation for u(t, x) with boundary and initial conditions defined for 0...
Consider the following wave equation for u(t, x) with boundary and initial conditions defined for 0 ≤ x ≤ 2 and t ≥ 0. ∂ 2u ∂t2 = 0.01 ∂ 2u ∂x2 (0 ≤ x ≤ 2, t ≥ 0) (1) ∂u ∂x(t, 0) = 0 and ∂u ∂x(t, 2) = 0 (2) u(0, x) = f(x) = x if 0 ≤ x ≤ 1 1 if 1 ≤ x ≤ 2. (a) Compute the coefficients a0, a1, a2, ....
6. Consider the one dimensional wave equation with boundary conditions and initial conditions: PDE : utt...
6. Consider the one dimensional wave equation with boundary conditions and initial conditions: PDE : utt = c 2 uxx, BC : u(0, t) = u(L, t) = 0, IC : u(x, 0) = f(x), ut(x, 0) = g(x) a) Suppose c = 1, L = 1, f(x) = 180x 2 (1 − x), and g(x) = 0. Using the first 10 terms in the series, plot the solution surface and enough time snapshots to display the dynamics of the...
Solve the following wave equation using Fourier Series a2uxx = utt, 0 < x < 1,...
Solve the following wave equation using Fourier Series a2uxx = utt, 0 < x < 1, t > 0, u(0,t) = 0 = u(1,t), u(x,0) = x2, ut(x,0) = 0
Solve the following wave equation using Fourier Series a2uxx = utt, 0 < x < pi,...
Solve the following wave equation using Fourier Series a2uxx = utt, 0 < x < pi, t > 0, u(0,t) = 0 = u(pi,t), u(x,0) = sinx, ut(x,0) = pi - x
Solve the Boundary Value Problem, PDE: Utt-a2uxx=0, 0≤x≤1, 0≤t<∞ BCs: u(0,t)=0 u(1,t)=cos(t) u(x,0)=0 ut(x,0)=0
Solve the Boundary Value Problem, PDE: Utt-a2uxx=0, 0≤x≤1, 0≤t<∞ BCs: u(0,t)=0 u(1,t)=cos(t) u(x,0)=0 ut(x,0)=0
Suppose u(t,x)solves the initial value problem Utt = 4Uxx + sin(wt) cos(x), u(0,x)= 0 , Ut(0,x)...
Suppose u(t,x)solves the initial value problem Utt = 4Uxx + sin(wt) cos(x), u(0,x)= 0 , Ut(0,x) = 0. Is h(t) = u(t,0) a periodic function? (PDE)
For a unique solution to the wave equation, what boundary conditions must be satisfied. a) Boundary...
For a unique solution to the wave equation, what boundary conditions must be satisfied. a) Boundary conditions are not needed for a medium with no interfaces. b) This is a trick question; all boundary conditions must be satisfied. c) The tangential boundary conditions d) The normal boundary conditions e) Continuity in solution across the boundary must be satisfied. T F (1)The loss tangent is related to the ratio of the conduction current density to the convection current density in the...
Consider the equation utt = uxx x ∈ (0, pi) ux(0,t) = u(pi,t) = 0 Write...
Consider the equation utt = uxx x ∈ (0, pi) ux(0,t) = u(pi,t) = 0 Write the series expansion for a solution u(x,t)
Consider the 1D wave equation d^2u/dt^2 = c^2( d^2u/dx^2) with the following boundary conditions: u(0, t)...
Consider the 1D wave equation d^2u/dt^2 = c^2( d^2u/dx^2) with the following boundary conditions: u(0, t) = ux (L, t) = 0 . (a) Use separation of variables technique to calculate the eigenvalues, eigenfunctions and general solution. (b) Now, assume L = π and c = 1. With initial conditions u(x, 0) = 0 and ut(x, 0) = 1, calculate the solution for u(x, t). (c) With initial conditions u(x, 0) = sin(x/2) and ut(x, 0) = 2 sin(x/2) −...
Consider the ODE u" + lambda u=0 with the boundary conditions u'(0)=u'(M)=0, where M is a...
Consider the ODE u" + lambda u=0 with the boundary conditions u'(0)=u'(M)=0, where M is a fixed positive constant. So u=0 is a solution for every lambda, Determine the eigen values of the differential operators: that is a: find all lambda such that the above ODE with boundary conditions has non trivial sol. b. And, what are the non trivial eigenvalues you obtain for each eigenvalue
ADVERTISEMENT
ADVERTISEMENT
ADVERTISEMENT