Question

In: Statistics and Probability

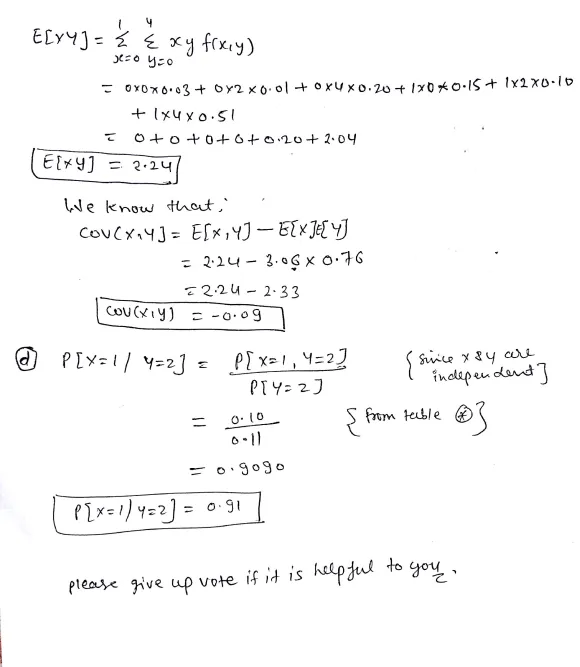
The table below gives the joint distribution between random variables X and Y . y 0...

The table below gives the joint distribution between random variables X and Y .

y 0 2 4

x 0 0.03 0.01 0.20

1 0.15 0.10 0.51

(a). [4pts] Find P(X = 0, Y = 2). 1 Problem

2(b). [6pts] Find E[X]. Problem

2(c). [6pts] Find Cov(X, Y ). Problem 2(d). [6pts] Find P(X = 1|Y = 2).

Solutions

Expert Solution


Related Solutions

X and Y are discrete random variables with joint distribution given below Y 1 Y 0...
X and Y are discrete random variables with joint distribution given below Y 1 Y 0 Y 1 X 1 0 1/4 0 X 0 1/4 1/4 1/4 (a) Determine the conditional expectation E Y|X 1 . (b) Determine the conditional expectation E X|Y y for each value of y. (c) Determine the expected value of X using conditional expectation results form part (b) above. (d) Now obatin the marginal distribution of X and verify your answers to part (c).
The joint probability distribution of variables X and Y is shown in the table below. ...............................................................................X..........................................................................
The joint probability distribution of variables X and Y is shown in the table below. ...............................................................................X....................................................................... Y 1 2 3 1 0.30 0.18 0.12 2 0.15 0.09 0.06 3 0.05 0.03 0.02 Calculate E(XY) Determine the marginal probability distributions of X and Y.             Calculate E(X) and E(Y)             Calculate V(X) and V(Y)             Are X and Y independent? Explain.             Find P(Y = 2| X = 1) Calculate COV(X,Y). Did you expect this answer? Why? Find the probability distribution...
The joint probability distribution of random variables, X and Y, is shown in the following table:...
The joint probability distribution of random variables, X and Y, is shown in the following table: X 2 4 6 Y 1 0.10 0.20 0.08 2 0.06 0.12 0.16 3 0.15 0.04 0.09 (a) Calculate P ( X=4 | Y=1) (b) Calculate V (Y | X=2) . (c) Calculate V (3Y-X ) .
This is the probability distribution between two random variables X and Y: Y \ X 0...
This is the probability distribution between two random variables X and Y: Y \ X 0 1 2 3 0.1 0.2 0.2 4 0.2 0.2 0.1 a) Are those variables independent? b) What is the marginal probability of X? c) Find E[XY]
Define a joint distribution for two random variables (X,Y) such that (i) Cov(X,Y)=0 and (ii) E[Y...
Define a joint distribution for two random variables (X,Y) such that (i) Cov(X,Y)=0 and (ii) E[Y I X] is not equal to E[Y]. How do I define a joint distribution that satisfies both (i) and (ii) above at the same time? Please give me an example and explanation of how it meets the two conditions.
.The following table displays the joint probability distribution of two discrete random variables X and Y....
.The following table displays the joint probability distribution of two discrete random variables X and Y. -1 0 1 2 1 0.2 0 0.16 0.12 0 0.3 0.12 0.1 0 What is P(X=1/Y=1)?    What is the value of E(X/Y=1)?    What is the value of VAR(X/Y = 1)? What is the correlation between X and Y? What is variance of W = 4X - 2Y. What is covariance between X and W?
Discrete random variables X and Y have joint probability mass function defined by the table below....
Discrete random variables X and Y have joint probability mass function defined by the table below. X= { 0 , 1 , 2 } , Y= { − 2 , 0 , 2 }    y/x 0 1 2 -2 0.2 0.1 0.1 0 0.0 0.4 0.0 2 0.1 0.0 0.1 A.) Evaluate the expected value of X (round to 2 decimal digits) B.) Evaluate the variance of X (round to 2 decimal digits) C.) Evaluate the covariance of X...
Given below is a bivariate distribution for the random variables x and y. f(x, y) x...
Given below is a bivariate distribution for the random variables x and y. f(x, y) x y 0.3 50 80 0.2 30 50 0.5 40 60 (a) Compute the expected value and the variance for x and y. E(x) = E(y) = Var(x) = Var(y) = (b) Develop a probability distribution for x + y. x + y f(x + y) 130 80 100 (c) Using the result of part (b), compute E(x + y) and Var(x + y). E(x...
Let X and Y be continuous random variables with joint pdf f(x, y) = kxy^2 0...
Let X and Y be continuous random variables with joint pdf f(x, y) = kxy^2 0 < x, 0 < y, x + y < 2 and 0 otherwise 1) Find  P[X ≥ 1|Y ≤ 1.5] 2) Find P[X ≥ 0.5|Y ≤ 1]
Suppose the joint probability distribution of two binary random variables X and Y are given as...
Suppose the joint probability distribution of two binary random variables X and Y are given as follows. x/y 1 2 0 3/10 0 1 4/10 3/10 X goes along side as 0 and 1, Y goes along top as 1 and 2 e) Find joint entropy H(X, Y ). f) Suppose X and Y are independent. Show that H(X|Y ) = H(X). g) Suppose X and Y are independent. Show that H(X, Y ) = H(X) + H(Y ). h)...
ADVERTISEMENT
ADVERTISEMENT
ADVERTISEMENT