Question

In: Physics

An n-type silicon wafer undergoes a pre-deposition diffusion process with a constant surface concentration of boride...

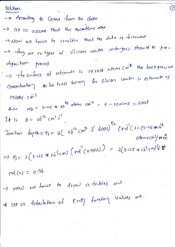
An n-type silicon wafer undergoes a pre-deposition diffusion process with a constant surface concentration of boride gas; the resulting concentration of boron in silicon at the surface is estimated to be 1x1018 atoms cm-3. The background concentration of trace boron atoms in the silicon wafer is estimated to be 1x1014 cm-3. (A) Estimate the depth of the p-n junction below the surface when the background doping concentration of the n-type impurity is 3.45 x1016 cm-3; assume the diffusion process proceeds for 10 minutes and has a diffusion parameter given by 10-12 cm2 s -1. (B) Estimate the number of boron atoms (per cm^2) introduced in this thin surface layer following the pre-deposition step.

Solutions

Expert Solution


Related Solutions

An n-type silicon wafer undergoes a pre-deposition diffusion process with a constant surface concentration of boride...
An n-type silicon wafer undergoes a pre-deposition diffusion process with a constant surface concentration of boride gas; the resulting concentration of boron in silicon at the surface is estimated to be 1x1018 atoms cm-3. The background concentration of trace boron atoms in the silicon wafer is estimated to be 1x1014 cm-3. (A) Estimate the depth of the p-n junction below the surface when the background doping concentration of the n-type impurity is 3.45 x1016 cm-3; assume the diffusion process proceeds...
Q1.An n-type silicon wafer undergoes a pre-deposition diffusion process with a constant surface concentration of boride...
Q1.An n-type silicon wafer undergoes a pre-deposition diffusion process with a constant surface concentration of boride gas; the resulting concentration of boron in silicon at the surface is estimated to be 1x10^18 atoms cm-3 . The background concentration of trace boron atoms in the silicon wafer is estimated to be 1x10^14 cm-3 .(A) Estimate the depth of the p-n junction below the surface when the background doping concentration of the n-type impurity is 3.45 x10^16 cm-3 ; assume the diffusion...
1) (MOSCAP question) Consider a n-type silicon wafer. (a) Draw a figure of a MOSCAP made...
1) (MOSCAP question) Consider a n-type silicon wafer. (a) Draw a figure of a MOSCAP made with n-type Silicon. (b) Use drawings to briefly discuss the meaning of the following: (i) Flat band, (ii) Accumulation, (iii) Depletion and (iv) Inversion. (c) Discuss the voltage ranges when (i) through (iv) in part (b) occur. Do not to forget to indicate the polarity of the voltage.
A diffusion process is run at 1200 ºC with the surface concentration of diffusing atoms kept...
A diffusion process is run at 1200 ºC with the surface concentration of diffusing atoms kept constant at 1024 atoms/m3 . The process is run for 3 h. If there are no diffusing atoms at the start of the diffusion process inside the diffusing material, at what depth below the surface is the concentration of atoms 1022 atoms/m3 ? The diffusion coefficient at 1200ºC is 7.0 X 10-17 m2 /s.
A scientist would like to use thermal diffusion to dope the silicon wafer. He decides to...
A scientist would like to use thermal diffusion to dope the silicon wafer. He decides to deposit 10 nm Boron on the surface and heat up the wafer to allow Boron to diffuse into the wafer. What technique do you recommend him to use to deposit high purity Boron on the surface? Explain what are the machines he could use and what kind of precursors he needs to use.
Two wafers of extrinsic Si have the same dopant concentration, but one wafer is n-type and...
Two wafers of extrinsic Si have the same dopant concentration, but one wafer is n-type and the other is p-type. The resistivities of the two wafers are measured under the same test conditions and found to be different. Which one has the larger resistivity? Explain.
One integrated circuit design calls for the diffusion of arsenic into silicon wafers; the background concentration...
One integrated circuit design calls for the diffusion of arsenic into silicon wafers; the background concentration of As in Si is 2.5 × 1020 atoms/m3. The predeposition heat treatment is to be conducted at 1000°C for 45 minutes, with a constant surface concentration of 8 × 1026 As atoms/m3. At a drive-in temperature of 1100°C, determine the diffusion time required for a junction depth of 1.2 μm. For this system, values of Qd and D0 are 4.10 eV and 2.29...
What is the difference between n-type, p-type and intrinsic silicon?
What is the difference between n-type, p-type and intrinsic silicon?
Construct a process flow chart/diagram describing the production of a silicon wafer from silica sand. Indicate...
Construct a process flow chart/diagram describing the production of a silicon wafer from silica sand. Indicate key chemical reactions, phase changes and temperature changes. Explain why the Czochralski process is important for wafer production. What happens to the waste from this process? Construct a process flow chart/diagram describing the production of an aluminum ingot from bauxite. Be sure to include details of both the Bayer process and the Hall-Heroult process. Indicate key chemical reactions, phase changes and temperature changes. One...
Air is at 100 kPa and 150°C, and undergoes a constant pressure process. The final temperature...
Air is at 100 kPa and 150°C, and undergoes a constant pressure process. The final temperature of the air is 1000°C. a) Compute the specific volume ratio. b) Compute the boundary work (kJ/kg) c) Compute the change in specific internal energy by: 1. Using the tables. 2. Integrating the polynomial (cp) 3. Assuming constant specific heat. d) Repeat c for specific enthalpy e) Compute the heat
ADVERTISEMENT
ADVERTISEMENT
ADVERTISEMENT