In: Physics
please answer all questions
1.) Which of the types of energies in the electromagnetic spectrum have the ability to ionize?
2.) What makes an x-ray photon higher energy than a microwave?
3.) State the wave equation
Question (1) Ans: Gamma rays, X-rays, and the higher ultraviolet part of the electromagnetic spectrum are ionizing, whereas the lower ultraviolet part of the electromagnetic spectrum and all the spectrum below UV, including visible light (including nearly all types of laser light), infrared, microwaves, and radio waves are considered non-ionizing radiation.
Question (2) Ans: Because Radio waves have photons with the lowest energies. Microwaves have a little more energy than radio waves. Infrared has still more, followed by visible, ultraviolet, X-rays and gamma rays.
and energy equals Planck's constant times the frequency, or E = h × ν
Now, Since X-rays have higher frequency than the microwaves.an x-ray photon higher energy than a microwave.
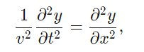
Question (3) Ans: The wave equation is a linear second-order partial differential equation which describes the propagation of oscillations at a fixed speed in some quantity y.

where v is the velocity of the wave.
The equation is a good description for a wide range of phenomena because it is typically used to model small oscillations about an equilibrium, for which systems can often be well approximated by Hooke's law. Solutions to the wave equation are of course important in fluid dynamics, but also play an important role in electromagnetism, optics, gravitational physics, and heat transfer. Especially important are the solutions to the Fourier transform of the wave equation, which define Fourier series, spherical harmonics, and their generalizations.