Question

In: Physics

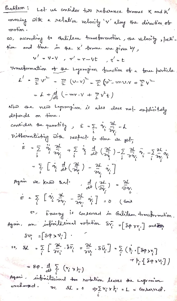
Demonstrate and derivate how the energy and angular momentum are conserved in Galilean Transformations.

Demonstrate and derivate how the energy and angular momentum are conserved in Galilean Transformations.

Solutions

Expert Solution


Related Solutions

How can angular momentum be conserved, but evergy not be conserved?
How can angular momentum be conserved, but evergy not be conserved?
In which of these collisions would angular momentum NOT be conserved? A) A collision in which...
In which of these collisions would angular momentum NOT be conserved? A) A collision in which linear momentum is also conserved B) A collision which is perfectly inelastic C) A collision which is perfectly elastic D) A collision with a net external torque
Is the angular momentum of a planet conserved as it orbits a star? Explain your answer...
Is the angular momentum of a planet conserved as it orbits a star? Explain your answer using torque. Conservation of angular momentum: The angular momentum of an object or system is conserved whenever the total external torque on the object or system is zero. τ ⃗_ext=0 → ∆L ⃗=0
Show that angular momentum is conserved for a force law F = kr and find the...
Show that angular momentum is conserved for a force law F = kr and find the allowed orbits.
How does a newton cradle visually demonstrate how NRG and momentum are conserved. I konw it...
How does a newton cradle visually demonstrate how NRG and momentum are conserved. I konw it works mathematically but how does releasing balls and having the other two balls on the other side swing up demonstrate momentum and conservation of NRG.
the total momentum (linear momentum) is conserved in any collision, not its _________ energy, but its...
the total momentum (linear momentum) is conserved in any collision, not its _________ energy, but its total energy is conserved. In the ballistic pendulum shown in the conservation of linear momentum lesson, if the mass of a bullet is m1 = 10 g and the mass of the block is 8.0 kg and the height that both reach is 5.0 cm, the initial speed of the bullet is _______ m / s. In the Newton pendulum or Newton's cradle the...
1. Show that the Kinetic Energy and the Momentum are conserved in this system. (Remember that...
1. Show that the Kinetic Energy and the Momentum are conserved in this system. (Remember that momentum is a vector, so you need to show the conservation of the momentum in x and y directions separately.) Data: Before the collision: m1= 1kg v1x =1 m/s v1y=0 m/s m2=1kg v2x=-1m/s v2y=0 m/s After the collision: m1= 1kg v1x =-0.778 m/s v1y=-0.629 m/s m2=1kg v2x= 0.778 m/s v2y=0.629 m/s 2. From the data, calculate the direction(angles) of the final velocities of the...
Kinetic energy is conserved in an elastic collision by definition. Show, using the Galilean transformation equations,...
Kinetic energy is conserved in an elastic collision by definition. Show, using the Galilean transformation equations, that if a collision is elastic in one inertial frame it should be elastic in all inertial frames
1)What is energy? Is it conserved, and how is this conservation different than momentum? 2) What...
1)What is energy? Is it conserved, and how is this conservation different than momentum? 2) What is the difference between a closed system and an isolated system? 3) What is the difference between elastic, inelastic, totally inelastic, and super-elastic collision? 4) What is Mazur's notation for relative velocity and what is relative velocity anyway?
A. Starting from the assumption that angular momentum is conserved, prove Kepler's second law, the constancy...
A. Starting from the assumption that angular momentum is conserved, prove Kepler's second law, the constancy of areal velocity. B. Starting from Kepler's first and second laws and Newton's Universal Law of Gravity, prove Kepler's third law (The Harmonic Law).
ADVERTISEMENT
ADVERTISEMENT
ADVERTISEMENT