Question

In: Chemistry

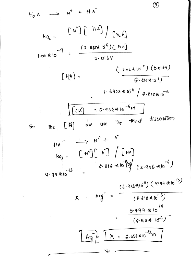
Calculate the pH of a 0.0164 M solution of arginine hydrochloride (arginine·HCl, H2Arg ). Arginine has...

Calculate the pH of a 0.0164 M solution of arginine hydrochloride (arginine·HCl, H2Arg ). Arginine has pKa values of 1.823 (pKa1), 8.991 (pKa2), and 12.01 (pKa3).

Calculate the concentration of each species of arginine in the solution.

H3Arg2+

H2Arg+

HArg

Arg-

Solutions

Expert Solution


Related Solutions

Calculate the pH of a 0.0174 M solution of arginine hydrochloride (arginine·HCl, H2Arg ). Arginine has...
Calculate the pH of a 0.0174 M solution of arginine hydrochloride (arginine·HCl, H2Arg ). Arginine has pKa values of 1.823 (pKa1), 8.991 (pKa2), and 12.01 (pKa3).Calculate the concentration of each species of arginine in the solution.
Calculate the pH of 0.14 M RbOCl solution
Calculate the pH of 0.14 M RbOCl solution
Calculate the pH of a 0.040 M solution of CH3CO2H.
Calculate the pH of a 0.040 M solution of CH3CO2H.
Calculate the pH of a 0.2 M solution of LiHCO3
Calculate the pH of a 0.2 M solution of LiHCO3
Calculate the pH of a 0.89 M methylamine solution.
Calculate the pH of a 0.89 M methylamine solution.
pH and Activity Calculate the pH of a solution which is 0.0010 M in KOH and...
pH and Activity Calculate the pH of a solution which is 0.0010 M in KOH and 0.013 M in NaNO3 using activities. Calculate a pH for the same solution, ignoring activities
Calculate the ph of a solution that is 0.30 M in ammonia (NH3) and 0.20 M...
Calculate the ph of a solution that is 0.30 M in ammonia (NH3) and 0.20 M in ammonium chloride. Kb=1.76 x 10^-5 Then calculate the ph if you add 10 mL of 1.0 M HCl to 50 mL of your solution in the problem above.
Calculate the pH of a solution that is .150 M in benzoic acid and .190 M...
Calculate the pH of a solution that is .150 M in benzoic acid and .190 M in sodium benzoate
1. Calculate the pH of a 0.10 M ammonia solution. 2. Calculate pH when the following...
1. Calculate the pH of a 0.10 M ammonia solution. 2. Calculate pH when the following volumes of 0.10 M HCl are added to 20.0 mL of 0.10 M ammonia solution. a. 5.0 mL b. 10.0 mL c. 15.0 mL d. 20.0 mL e. 25.0 mL 3. What are the major species present under the conditions in 2. 4. Sketch the titration Curve .5. What was the pH at the equivalence point ( where equal amounts of acid and base...
A buffered solution containing dissolved aniline, C6H5NH2, and aniline hydrochloride, C6H5NH3Cl, has a pH of 5.61....
A buffered solution containing dissolved aniline, C6H5NH2, and aniline hydrochloride, C6H5NH3Cl, has a pH of 5.61. a) Determine the concentration of C6H5NH3 in the solution if the concentration of C6H5NH2 is 0.200 M. The pKb of aniline is 9.13. b) Calculate the change in pH of the solution, ΔpH, if 0.387 g NaOH is added to the buffer for a final volume of 1.75 L. Assume that any contribution of NaOH to the volume is negligible.
ADVERTISEMENT
ADVERTISEMENT
ADVERTISEMENT