Question

In: Chemistry

Suppose two blocks of iron, each having 1 mol of iron atoms, are at differing temperatures...

Suppose two blocks of iron, each having 1 mol of iron atoms, are at differing temperatures and are then brought together in an otherwise isolated system. One of the blocks is at 273.15 K and the other is at 373.15 K and the process is carried out at 1 bar pressure.

a.) Would you expect ∆Ssys < 0, ∆Ssys = 0, ∆Ssys > 0 ?

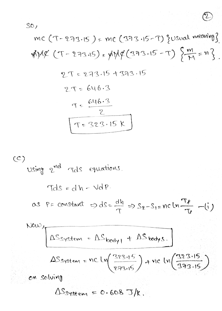
b.) Using common sense and high school physics (and perhaps the First Law), what is the common final temperature of the two blocks?

c.) Calculate ∆Ssys for the process (use Table 4.1 for any needed molar heat capacities needed, and assume that the molar heat capacities are independent of T).

d.) What is q for the isolated system? How does this value of q and the result of part C relate to the Clausius inequality: final initial d q S T − ∆ ≥ ∫ ?

e.) Interpret this change in entropy in terms of the ordering-disordering effects involved in the transfer of given amount of heat from a block at higher temperature to one at a lower temperature (i.e. the disordering effect of adding a given q to the cooler block vs the ordering effect of removing the same q from the hotter block).

Molar heat capacity of Fe(s) ==> Cp,m (J / mol*K) = 25.1

Solutions

Expert Solution


Related Solutions

Two copper blocks, each of mass 1.96 kg, initially have different temperatures,t1 = 17° C and...
Two copper blocks, each of mass 1.96 kg, initially have different temperatures,t1 = 17° C and t2 = 27° C. The blocks are placed in contact with each other and come to thermal equilibrium. No heat is lost to the surroundings. (a) Find the final temperature of the blocks. °C Find the heat transferred between them. J (b) Find the entropy change of each block during the time interval in which the first joule of heat flows. ΔS1 =  J/K ΔS2...
The two ends of an iron rod are maintained at different temperatures. The amount of heat...
The two ends of an iron rod are maintained at different temperatures. The amount of heat that flows through the rod by conduction during a given time interval does not depend upon A-the duration of the time interval. B-the mass of the iron rod. C-the length of the iron rod. D-the thermal conductivity of iron. E-the temperature difference between the ends of the rod.
Suppose that some of the iron atoms in the ceramic FeO are oxidized from Fe 2+...
Suppose that some of the iron atoms in the ceramic FeO are oxidized from Fe 2+ to Fe 3+. a) Would the net charge of the crystal be positive or negative? b) Explain why each of the following defects would or would not be reasonable to regain charge balance: O 2- vacancies O 2- interstitials Fe 2+ vacancies Fe 2+ interstitials c) what ratio of these defects above to Fe 3+ is needed for charge neutrality ? d) Ionic materials...
Suppose that some of the iron atoms in the ceramic FeO are oxidized from Fe 2+...
Suppose that some of the iron atoms in the ceramic FeO are oxidized from Fe 2+ to Fe 3+. a) Would the net charge of the crystal be positive or negative? b) Explain why each of the following defects would or would not be reasonable to regain charge balance: O 2- vacancies O 2- interstitials Fe 2+ vacancies Fe 2+ interstitials c) what ratio of these defects above to Fe 3+ is needed for charge neutrality ? d) Ionic materials...
In FCC iron, carbon atoms are located at octahedral sites at the centre of each edge...
In FCC iron, carbon atoms are located at octahedral sites at the centre of each edge of the unit cell (1/2, 0, 0) and at the centre of the unit cell (1/2, 1/2, 1/2). In BCC iron, carbon atoms enter tetrahedral sites, such as (1/4, 1/2, 0). The lattice parameter is 0.3571nm for FCC iron and 0.2866nm for BCC iron. Assume that carbon atoms have a radius of 0.071nm. (a) Would we expect a greater distortion of the crystal by...
Two blocks are connected by a light string that passes over a frictionless pulley having a...
Two blocks are connected by a light string that passes over a frictionless pulley having a moment of inertia of 0.0040 kg*m2 and a radius of 5.0 cm. The coefficient of kinetic friction between the table top and the upper block is 0.300. The blocks are released from rest. Using energy methods, find the speed of the upper block just as it has moved 0.600 m.
26/04/19 If two metal blocks of initially different temperatures come together and equilibrate to the same...
26/04/19 If two metal blocks of initially different temperatures come together and equilibrate to the same temperature and produce a total change in entropy of 6.2 JK^-1, what is the factor by which the number of microstates in the universe increases? Is this done using Boltzmann entropy? Also, please explain what the second law of thermodynamics is statistically based on.
#1 Consider the iron sulfur rubredoxins having a single iron center in their natural biological environment....
#1 Consider the iron sulfur rubredoxins having a single iron center in their natural biological environment. Which of the following statements is incorrect. The iron atom is usually found in a nearly tetrahedral geometry surrounded by sulfurs. Iron(III) rubredoxins act as reducing agents during electron transfer reactions. The iron(III) rubredoxins exhibit a larger paramagnetism than their corresponding iron (II) rubredoxins. Rubredoxins are only capable of gaining or loosing a single electron. Iron(II) and iron(III) rubredoxins are found as high-spin iron...
Suppose a person’s life is divided into two main blocks, periods 1 and 2. The consumer...
Suppose a person’s life is divided into two main blocks, periods 1 and 2. The consumer does not desire to perfectly smooth consumption over the two periods. In particular, preferences are such that c2 = 0.5 ∗ c1. Income in the two periods is equal to y1 = 500 and y2 = 1000, and income taxes are proportional τ1 = 50% and τ2 = 50%. The real interest rate is r = 0%. (a) What is the present value of...
Suppose a person’s life is divided into two main blocks, periods 1 and 2. The consumer...
Suppose a person’s life is divided into two main blocks, periods 1 and 2. The consumer does not desire to perfectly smooth consumption over the two periods. In particular, preferences are such that c2 = 0.5 ∗ c1. Income in the two periods is equal to y1 = 500 and y2 = 1000, and income taxes are proportional τ1 = 50% and τ2 = 50%. The real interest rate is r = 0%. (a) What is the present value of...
ADVERTISEMENT
ADVERTISEMENT
ADVERTISEMENT