In: Advanced Math
Find the equation of the tangent plane and find symmetric equations of the normal line to the surface at the given point.

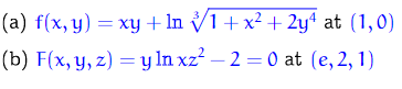
Solution
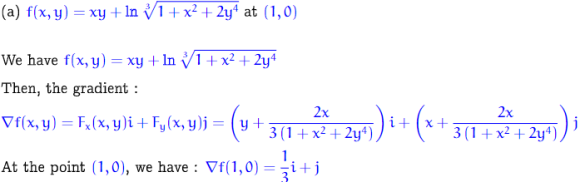
Note for the "Tangent Plane Equation": If F is di erentiable at (x0 ,y0 ,z0) then an equation of the tangent plane to the surface given by F(x, y, z) = 0 at (x0 ,y0 ,z0) is Then, the tangent plane equation is:

Therefore, the tangent plane equation is : x+3 y=1
Find the symmetric equations of the normal line to the surface.

Then the normal line at (1,0) has direction of 1/3, and 1 , and then the corresponding to the symmetric equation is (x-1)/(1/3)=y/1

Then, the tangent plane equation is:

The symmetric equation of normal line to the surface at the (e, 2,1) is :