In: Advanced Math

(a) Show that if f is homogeneous of degree α, then its partial derivatives are
homogeneous α-1
(b) Show that f is homogeneous of degree α if and only if

Solution
(a) Show that if f is homogeneous of degree α, then its partial derivatives are
homogeneous α-1

By (1) and (2), the partial derivatives of f are the homogeneous function with α-1
(b) Show that f is homogeneous of degree α if and only if
![]()
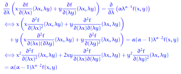
(*) First assume that f is homogeneous of degree α, then we obtained as following:

By (4) and (6), we obtain as following :

![]()
Do derivative both sides of equation respected to λ, then we obtained:

Then let λ=1, and the equation above become: