Question

In: Physics

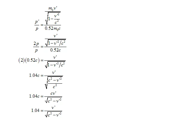
A particle initially has a speed of 0.40c. (a) At what speed does its momentum increase...

A particle initially has a speed of 0.40c.

(a) At what speed does its momentum increase by 1%?
(b) At what speed does its momentum increase by 10%?
(c) At what speed does its momentum increase by 100%?

Answer in c

Solutions

Expert Solution


Related Solutions

At what speed does the momentum of a particle differ by 2.00% from the value obtained...
At what speed does the momentum of a particle differ by 2.00% from the value obtained with the nonrelativistic expression mv?
Particle X has a speed of 0.850 c and a momentum of 8.61×10-19kgm/s. What is the...
Particle X has a speed of 0.850 c and a momentum of 8.61×10-19kgm/s. What is the mass of the particle? What is the rest energy of the particle? What is the kinetic energy of the particle? What is the total energy of the particle?
A particle travels at 0.14c. By what percentage will a calculation of its momentum be wrong...
A particle travels at 0.14c. By what percentage will a calculation of its momentum be wrong if you use the classical formula? Express your answer using two significant figures. p−prelprel = ? % B- Repeat for 0.58c. Express your answer using two significant figures p−prelprel = ? %
If the momentum of a particle is doubled, what happens to its de Broglie wavelength? it...
If the momentum of a particle is doubled, what happens to its de Broglie wavelength? it decreases by a factor of 2-1/2 it doubles it halves it becomes slightly less than half it slightly more than doubles
An 8kg mass is observed traveling with a speed of .08*c. What is its classical momentum?...
An 8kg mass is observed traveling with a speed of .08*c. What is its classical momentum? What is the relativisitic momentum? What is the difference between the two values? Repeat the problem for a speed of .2*c and .8*c
Force, speed , acceleration and momentum
Sometimes it is convenient to construct a system of units so that all quantities can be expressed in terms of only one physical quantity. In one such system, dimensions of different quantities are given in terms of a quantity X as follows:[position] = [𝑋𝛼]; [speed] = [𝑋𝛽]; [acceleration] =[𝑋𝑝]; [linear momentum] = [𝑋𝑞]; [force] = [𝑋𝑟]. Then
what charge does a soil particle have and what does that mean in terms of its...
what charge does a soil particle have and what does that mean in terms of its ability to hold cations or anions? How can you increase CEC (cation exchange capacity)?
An object has a relativistic momentum that is 7.3 times greater than its classical momentum. What...
An object has a relativistic momentum that is 7.3 times greater than its classical momentum. What is its speed? Express your answer using two significant figures. v=__________c
If a particle’s momentum uncertainty, what is the uncertainty in its position. Very briefly, what does...
If a particle’s momentum uncertainty, what is the uncertainty in its position. Very briefly, what does this result mean? What is the Compton effect? What is measured in observations of the Compton effect? How does this differ from the expectations of classical physics? At what condition for incident radiation can the effect be observed? What important property of light does the Compton effect demonstrate? How does it give evidence of electromagnetic radiation`s particle nature?
Is it possible to sketch the probability distribution of momentum for a particle in the second...
Is it possible to sketch the probability distribution of momentum for a particle in the second excited state (n = 3) of an infinite square well? If so, do it.
ADVERTISEMENT
ADVERTISEMENT
ADVERTISEMENT