In: Statistics and Probability
Data
|
Employees |
Random Sample |
Mean Times |
Standard Deviations |
|
1 |
8 |
3.4 minutes |
1.8 minutes |
|
2 |
10 |
2.5 minutes |
0.9 minutes |
With two tail F test, you just want to know if the variances are
not equal to each other. In notation:
Ha = σ21 ≠ σ2 2
Sample 1: Variance = (1.8)^ = 3.24, sample size = 8
Sample 2: Variance = (0.9)^2 = 0.81, sample size = 10
hypothesis statements:
Ho: No difference in variances.
Ha: Difference in variances.
F Statistic = variance 1/ variance 2 = 3.24 / 0.81
= 4
Critical F (7,9) at alpha (0.05) = 4.197
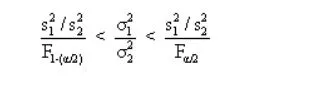
a) confidence interval at 0.05 =

The degrees of freedom will be the sample size -1, so:
Sample 1 has 7 df (the numerator).
Sample 2 has 9 df (the denominator).
F0.025 = 4.197
F0.975 = 0.207
(3.24/0.81)/4.197 < σ12/ σ22 < (3.24/.81)/0.207
0.953 < σ12/ σ22 < 19.323
b)
Since from the sample information we get that FL =0.207 < F=4 < FU =4.197, it is then concluded that the null hypothesis is not rejected.
It is concluded that the null hypothesis Ho is not rejected. Therefore, there is not enough evidence to claim that employee 1 is greater than the employee 2 at 0.05α=0.05significance level.