Question

In: Advanced Math

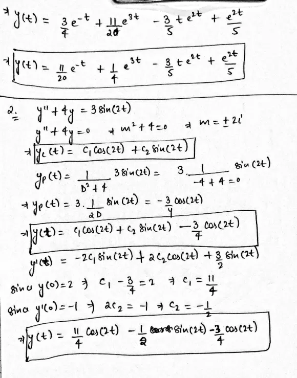
find the solution of the given initial value problem 1. y''−2y'−3y=3te2t, y(0) =1, y'(0) =0 2....

find the solution of the given initial value problem

1. y''−2y'−3y=3te2t, y(0) =1, y'(0) =0

2.    y''+4y=3sin2t, y(0) =2, y'(0) =-1

Solutions

Expert Solution

If you have any doubt then let me know in the comment.


Related Solutions

find the solution of the given initial value problem. y′′−2y′−3y=3te^2t y(0)=1 y′(0)=0
find the solution of the given initial value problem. y′′−2y′−3y=3te^2t y(0)=1 y′(0)=0
find the general solution of the given differential equation 1. 2y''+3y'+y=t^2 +3sint find the solution of...
find the general solution of the given differential equation 1. 2y''+3y'+y=t^2 +3sint find the solution of the given initial value problem 1. y''−2y'−3y=3te^2t, y(0) =1, y'(0) =0 2.  y''−2y'+y=te^t +4, y(0) =1, y'(0) =1
find the solution of the given initial value problem 1.   y''+4y=t2+3et, y(0) =0, y'(0) =2 2....
find the solution of the given initial value problem 1.   y''+4y=t2+3et, y(0) =0, y'(0) =2 2. y''−2y'+y=tet +4, y(0) =1, y'(0) =1
Use the Laplace transform to solve the given initial value problem: y''+3y'+2y=1 y(0)=0, y'(0)=2
Use the Laplace transform to solve the given initial value problem: y''+3y'+2y=1 y(0)=0, y'(0)=2
find the general solution of the given differential equation 1. y''+2y'=3+4sin2t 2. 2y''+3y'+y=t2 +3sint
find the general solution of the given differential equation 1. y''+2y'=3+4sin2t 2. 2y''+3y'+y=t2 +3sint
Find the solution of the given initial value problem. 2y''+y'-4y=0 ; y(0)=0 y'(0)=1
Find the solution of the given initial value problem. 2y''+y'-4y=0 ; y(0)=0 y'(0)=1
Find the solution to the problem of initial value 2y'''' +3y'''--16''+15y'-- 4y=0 subjected to y(0)= --...
Find the solution to the problem of initial value 2y'''' +3y'''--16''+15y'-- 4y=0 subjected to y(0)= -- 2, y'(0)=6, y''(0)=3, y'''(0)=1/2
find the general solution of the given differential equation. 1. y''+2y'−3y=0 2.  6y''−y'−y=0 3.  y''+5y' =0 4.  y''−9y'+9y=0
find the general solution of the given differential equation. 1. y''+2y'−3y=0 2.  6y''−y'−y=0 3.  y''+5y' =0 4.  y''−9y'+9y=0
Find the solution of the initial value problem y′′−2y′−3 y=15te2t, y(0)=2, y′(0)=0.
Find the solution of the initial value problem y′′−2y′−3 y=15te2t, y(0)=2, y′(0)=0.
Find the solution of the given initial value problem: 3y′′′+27y′−810y=0 y(0)=11, y′(0)=39, y′′(0)=−261
Find the solution of the given initial value problem: 3y′′′+27y′−810y=0 y(0)=11, y′(0)=39, y′′(0)=−261
ADVERTISEMENT
ADVERTISEMENT
ADVERTISEMENT