Question

In: Statistics and Probability

Let N1=40,X1=20, N2=40 AND X2=10. At the 0.01 level of significance, is there evidence of a...

Let N1=40,X1=20, N2=40 AND X2=10.

At the 0.01 level of significance, is there evidence of a significant difference between the two population proportions.

Calculate the test statistic Zstat, based on the difference P1-P2.

A) The test statistic, Zstat is:

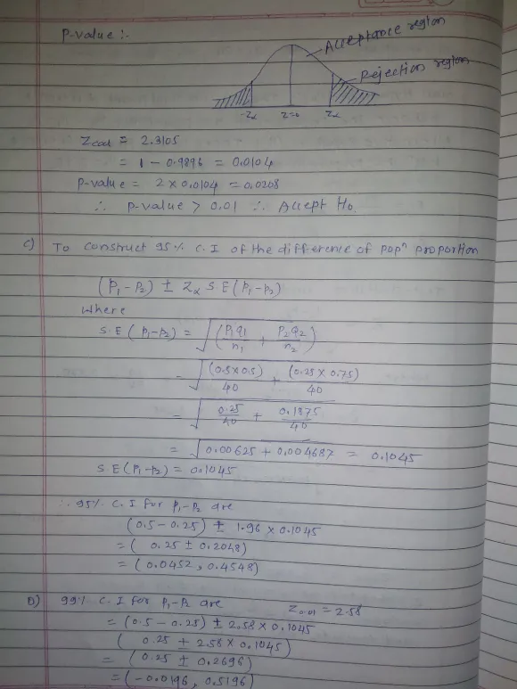
B) Calculate the P-value

C) Construct a 95​% confidence interval estimate of the difference between the two population proportions.

D) Construct a 99% confidence interval estimate of the difference between the two population proportions.

Solutions

Expert Solution


Related Solutions

Let n1=80​, X1=60​, n2=80​, and X2=40. a. At the 0.01 level of​ significance, is there evidence...
Let n1=80​, X1=60​, n2=80​, and X2=40. a. At the 0.01 level of​ significance, is there evidence of a significant difference between the two population​ proportions? Determine the null and alternative hypotheses.(using "π") b. Calculate the test​ statistic, ZSTAT, based on the difference p1−p2. c.Calculate the​ p-value. d. Determine a conclusion. ______ the null hypothesis. There is ______ evidence to support the claim that there is a significant difference between the two population proportions. e. Construct a 99​% confidence interval estimate...
Let n1 = 100, X1 = 43, n2 = 100, and X2 = 30. at 0.05...
Let n1 = 100, X1 = 43, n2 = 100, and X2 = 30. at 0.05 level of significance is there evidence of a significant difference between the two population proportions
10.28 Let n1 = 100, X1 = 45, n2 = 50, and X2 = 25. a....
10.28 Let n1 = 100, X1 = 45, n2 = 50, and X2 = 25. a. At the 0.01 level of significance, is there evidence of a signifi- cant difference between the two population proportions? b. Construct a 99% confidence interval estimate for the difference between the two population proportions.
n1 = 198 , n2 = 178, x1 = 38, x2 = 48 H0: p1 =...
n1 = 198 , n2 = 178, x1 = 38, x2 = 48 H0: p1 = p2 H1: p1 not= p2 a) construct a 95% CI for p1-p2 b) state whether the p value for this test is larger or smaller than .05 b)
Let the independent random variables X1, X2, and X3 have binomial distributions with parameters n1=3, n2=5,...
Let the independent random variables X1, X2, and X3 have binomial distributions with parameters n1=3, n2=5, n3=2 and the same probabilitiy of success p = 2/5. Find P(X1=1-X3). Find P(X1=X3). Find P(X1+X2+X3>=1). Find the expected value and variance for X1+X2+X3.
Construct a confidence interval for p1−p2 at the given level of confidence. x1=365365​, n1=516516​, x2=405405​, n2=577577​,...
Construct a confidence interval for p1−p2 at the given level of confidence. x1=365365​, n1=516516​, x2=405405​, n2=577577​, 9999​% confidence
Construct a confidence interval for p1−p2 at the given level of confidence. x1=377​, n1=503​, x2=444​, n2=589​,...
Construct a confidence interval for p1−p2 at the given level of confidence. x1=377​, n1=503​, x2=444​, n2=589​, 95​% confidence
Construct a confidence interval for p1−p2 at the given level of confidence. x1=389, n1=508​, x2=425​, n2=559,...
Construct a confidence interval for p1−p2 at the given level of confidence. x1=389, n1=508​, x2=425​, n2=559, 95​%confidence The researchers are ______% confident the difference between the two population​ proportions, p1−p2​, is between _____and _____
At the 0.01 significance level, do the data provide sufficient evidence to conclude that an association...
At the 0.01 significance level, do the data provide sufficient evidence to conclude that an association exists between car color and the likelihood of being in an accident? Red Blue White Car has been in accident 28 33 36 Car has not been in accident 23 22 30 Chi- Square Please show all work and both p value and critical value approach
Consider two independent random samples with the following results: n1 =653 x1 =355     n2 =597 x2...
Consider two independent random samples with the following results: n1 =653 x1 =355     n2 =597 x2 =201 Use this data to find the 90% confidence interval for the true difference between the population proportions. Copy Data Step 1 of 3 : Find the point estimate that should be used in constructing the confidence interval. Round your answer to three decimal places.
ADVERTISEMENT
ADVERTISEMENT
ADVERTISEMENT