Question

In: Statistics and Probability

On February 27, 2013, the City Council of Cincinnati (OH) passed an ordinance requiring photoelectric smoke...

On February 27, 2013, the City Council of Cincinnati (OH) passed an ordinance requiring photoelectric smoke detectors in all rental properties. However, over 5 years later, the city’s fire department representatives are concerned that not all properties are adhering to the ordinance. Suppose the population proportion of rental properties in Cincinnati having photoelectric smoke detectors is 0.80 (i.e., 80 percent).

(a) If a sample of 6 rental properties is selected at random, what is the probability at least 5 properties have photoelectric smoke detectors installed?

(b) What three Bernoulli trial assumptions did you make in performing the calculation in part (a)?

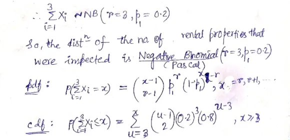
(c) Instead of sampling a fixed number of rental properties, suppose rental properties were inspected until the third one without photoelectric smoke detectors was found. Under the assumptions outlined in part (b), please write the distribution of the number of rental properties that would be inspected. Graph the side by side pdf and cdf plots to present the distribution with proper subtitles.

(d) Calculate the probability that the number of rental properties inspected exceeds 10 until the third one was found without photoelectric smoke detectors.

Solutions

Expert Solution


Related Solutions

In 1998, the City of Boston, Massachusetts passed a minimum wage ordinance. Broadly speaking, the ordinance...
In 1998, the City of Boston, Massachusetts passed a minimum wage ordinance. Broadly speaking, the ordinance covered firms that had contracts with the City. However, for a variety of reasons, some firms were exempt from having to pay the minimum wage, and thus were unaffected by the ordinance. Recently, a researcher named Mark Brenner evaluate the effect of Boston’s minimum wage ordinance on employment levels by gathering data on firms that have contracts with the City of Boston. He found...
An ordinance requiring that a smoke detector be installed in all previously constructed houses has been...
An ordinance requiring that a smoke detector be installed in all previously constructed houses has been in effect in a particular city for 1 year. The fire department is concerned that many houses remain without detectors. Let p= the true proportion of such houses having detectors and suppose that a portion of random sample of 25 homes is inspected. If the sample strongly indicates that fewer than 80% of all houses have a detector, the fire department will campaign for...
The City of Westboro passed an appropriations ordinance for the year ended June 30, 2012. 10...
The City of Westboro passed an appropriations ordinance for the year ended June 30, 2012. 10 points Included in the appropriations ordinance was an appropriation for public safety in the amount of $8,600,000. During the month ended July 31, 2012 the following transactions took place: Purchase orders were issued in the amount of $410,000. Goods were received, related to purchase orders in the amount of 200,000, along with invoices amounting to $205,000. Salaries were paid in the amount of $450,000...
On February 10, Coop City Council agreed to pool the investments of its General Fund with...
On February 10, Coop City Council agreed to pool the investments of its General Fund with Coop Schools and Cardinal Township in an investment pool managed by Coop City. Coop City creates an Investment Trust Fund to account for this investment pool. Please record the following in the Coop City Trust Fund and General Fund. 1. Coop City Trust Fund received investments with a market value of $890,000 from the Coop City General Fund, $4,200,000 from Coop Schools, and $3,890,000...
On 08/08/2018, the New York City Council passed a set of bills aimed at ride-hailing services...
On 08/08/2018, the New York City Council passed a set of bills aimed at ride-hailing services that forces the companies to pay drivers a minimum wage and set a cap on how many cars can be on the road. The guaranteed wage had to rise to $15 in December of 2018.1 Using a supply and demand diagram, illustrate the effect of the newly introduced minimum wage. Use the diagram to show those who are helped by the minimum wage and...
In February 2013, a 10,000 ton meteor entered the atmosphere near the city of Chelyabinsk, Russia....
In February 2013, a 10,000 ton meteor entered the atmosphere near the city of Chelyabinsk, Russia. Analysis of the trajectory showed that the meteor was traveling at a speed of 17.5 km/s at an angle of 17.7o below horizontal, when it was at a height of 77.9 km. Fortunately the meteor exploded high in the atmosphere, where most of its energy was dissipated. (a) Had the meteor not exploded, and ignoring air resistance, how long would it have taken for...
city Lat Temp Akron, OH 41.05 27 Albany-Schenectady-Troy, NY 42.4 23 Allentown, Bethlehem, PA-NJ 40.35 29...
city Lat Temp Akron, OH 41.05 27 Albany-Schenectady-Troy, NY 42.4 23 Allentown, Bethlehem, PA-NJ 40.35 29 Atlanta, GA 33.45 45 Baltimore, MD 39.2 35 Birmingham, AL 33.31 45 Boston, MA 42.15 30 Bridgeport-Milford, CT 41.12 30 Buffalo, NY 42.54 24 Canton, OH 40.5 27 Chattanooga, TN-GA 35.01 42 Chicago, IL 41.49 26 Cincinnati, OH-KY-IN 39.08 34 Cleveland, OH 41.3 28 Columbus, OH 40 31 Dallas, TX 32.45 46 Dayton-Springfield, OH 39.54 30 Denver, CO 39.44 30 Detroit, MI 42.06 27...
ADVERTISEMENT
ADVERTISEMENT
ADVERTISEMENT