Question

In: Advanced Math

Let H be the hemisphere x2 + y2 + z2 = 66, z ≥ 0, and...

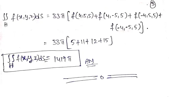
Let H be the hemisphere x2 + y2 + z2 = 66, z ≥ 0, and suppose f is a continuous function with f(4, 5, 5) = 5, f(4, −5, 5) = 11, f(−4, 5, 5) = 12, and f(−4, −5, 5) = 15. By dividing H into four patches, estimate the value below. (Round your answer to the nearest whole number.) H f(x, y, z) dS

Solutions

Expert Solution


Related Solutions

Si U=(x2+y2+z2)-1/2 , demuestre que ∂2U/∂x2+∂2U/∂y2+∂2U/∂z2=0
Si U=(x2+y2+z2)-1/2 , demuestre que ∂2U/∂x2+∂2U/∂y2+∂2U/∂z2=0
Consider the unit sphere x2 +y2 +z2 = 1 and the cone (z+√2)2 = x2 +y2....
Consider the unit sphere x2 +y2 +z2 = 1 and the cone (z+√2)2 = x2 +y2. Show that these surfaces are tangent where they intersect, that is, for a point on the intersection, these surfaces have the same tangent plane
Let  F= (x2 + y + 2 + z2) i + (exp( x2 ) + y2) j...
Let  F= (x2 + y + 2 + z2) i + (exp( x2 ) + y2) j + (3 + x) k . Let a > 0  and let S be part of the spherical surface x2 + y2 + z2 = 2az + 15a2 that is above the x-y plane and the disk formed in the x-y plane by the circular intersection between the sphere and the plane. Find the flux of F outward across S.
Use spherical coordinates. Evaluate (4 − x2 − y2) dV, where H is the solid hemisphere...
Use spherical coordinates. Evaluate (4 − x2 − y2) dV, where H is the solid hemisphere x2 + y2 + z2 ≤ 9, z ≥ 0. H
Use spherical coordinates. Evaluate (6 − x2 − y2) dV, where H is the solid hemisphere...
Use spherical coordinates. Evaluate (6 − x2 − y2) dV, where H is the solid hemisphere x2 + y2 + z2 ≤ 16, z ≥ 0. H
The plane x+y+z= 24 intersects the cone x2+y2= z2 in an ellipse. The goal of this...
The plane x+y+z= 24 intersects the cone x2+y2= z2 in an ellipse. The goal of this exercise is to find the two points on this ellipse that are closest to and furthest away from the xy-plane. Thus, we want to optimize F(x,y,z)= z, subject to the two constraints G(x,y,z)= x+y+z= 24 and H(x,y,z)= x2+y2-z2= 0.
Let D be the region bounded by the paraboloids z = 8 - x2 - y2...
Let D be the region bounded by the paraboloids z = 8 - x2 - y2 and z = x2 + y2. Write six different triple iterated integrals for the volume of D. Evaluate one of the integrals.
Let S be the surface with equation x2+y2-z2=1. (a) In a single xy-plane, sketch and label...
Let S be the surface with equation x2+y2-z2=1. (a) In a single xy-plane, sketch and label the trace curves z=k for k = -2,-1,0,1,2. In words describe what types of curves these are and how they change. (b) In a single yz-plane, sketch and label the trace curves x=k for k= -2,-1,0,1,2. In other words, describe what types of curves these are and how they change as k varies.
Let F(x,y,z) = < z tan-1(y2), z3 ln(x2 + 1), z >. Find the flux of...
Let F(x,y,z) = < z tan-1(y2), z3 ln(x2 + 1), z >. Find the flux of F across S, the top part of the paraboloid x2 + y2 + z = 2 that lies above the plane z = 1 and is oriented upward. Note that S is not a closed surface.
Use Polar coordinates to find the volume inside the sphere x2 + y2 + z2 =...
Use Polar coordinates to find the volume inside the sphere x2 + y2 + z2 = 16 and outside the cone z2 = 3x2 +3y2.
ADVERTISEMENT
ADVERTISEMENT
ADVERTISEMENT