Question

In: Statistics and Probability

Two groups, A and B, of arthritis sufferers are given a placebo and a prescription drug...

Two groups, A and B, of arthritis sufferers are given a placebo and a prescription drug respectively for a period of one month. Then, the time in seconds taken to walk 10 yards is measured.

The measured times in the two groups are A[1], ... ,A[m] and B[1] , ... , B[n] .

It is required to test the hypothesis H[0] : mu=nu  where mu and nu denote respectively the mean walking times in the (hypothetical) populations of sufferers treated with the placebo and prescription drug respectively.

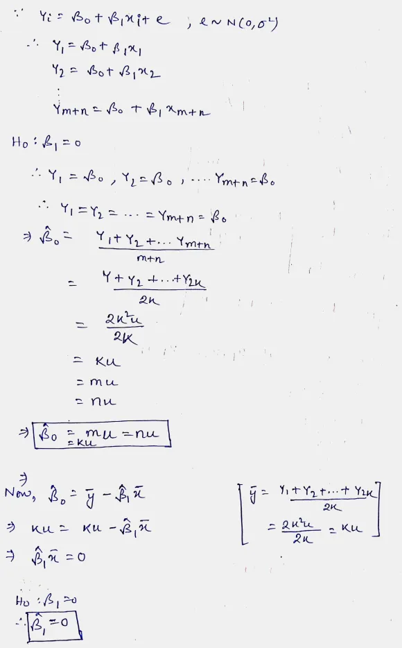
Express the data in linear model form Y[i] = Beta[0] + x[i]Beta[1] + e

; i = 1, ... , m + n;

in such a manner that the hypothesis H[0] : mu = nu is equivalent to the hypothesis H[0] : Beta[1] = 0: Express clearly Beta[0] and Beta[1] in terms of mu and nu and express Y[1], .... , Y[m+n] in terms of the A[i] and B[i]. Also give the numerical values of x[1], ... , x[m+n].

Solutions

Expert Solution


Related Solutions

Two different pain reliever drugs, “Drug A” and “Drug B,” are developed to relieve arthritis pain....
Two different pain reliever drugs, “Drug A” and “Drug B,” are developed to relieve arthritis pain. A clinical study recruits 15 individuals with arthritis. The individuals are given each drug on different days and the number of hours of pain relief for each drug is recorded. This data is in the “arthritis.csv” data file. a) State the appropriate hypotheses to test if there is a difference in the hours of pain relief for Drug A versus Drug B, using “Drug...
In testing a new drug, we obtained the following results: Placebo Drug A Drug B Drug...
In testing a new drug, we obtained the following results: Placebo Drug A Drug B Drug C 3 5 6 7 0 4 3 6 2 2 4 5 0 2 3 4 0 2 4 3 Run the ANOVA and fill in the summary table with the results obtained: SS df MS F-ratio p-value Between 3 Within 16 TOTAL 19 (Report P-value & F-ratio accurate to 3 decimal places and all other values accurate to 2 decimal places.) What...
In testing a new drug, we obtained the following results: Placebo Drug A Drug B Drug...
In testing a new drug, we obtained the following results: Placebo Drug A Drug B Drug C 6 4 6 7 3 3 3 6 5 1 4 5 3 1 3 4 3 1 4 3 Run the ANOVA and fill in the summary table with the results obtained: SS df MS F-ratio p-value Between 3 Within 16 TOTAL 19 (Report P-value & F-ratio accurate to 3 decimal places and all other values accurate to 2 decimal places.) What...
In testing a new drug, we obtained the following results: Placebo Drug A Drug B Drug...
In testing a new drug, we obtained the following results: Placebo Drug A Drug B Drug C 5 4 6 7 2 3 3 6 4 1 4 5 2 1 3 4 2 1 4 3 Run the ANOVA and fill in the summary table with the results obtained: SS df MS F-ratio p-value Between 3 Within 16 TOTAL 19 (Report P-value & F-ratio accurate to 3 decimal places and all other values accurate to 2 decimal places.) What...
QUESTION 1 Two groups of people are given a drug that they are told will make...
QUESTION 1 Two groups of people are given a drug that they are told will make them drowsy. However, only one group actually receives this drug, while the other group secretly receives a sugar pill. Strangely, both groups report feeling very tired 30 minutes later. The group receiving the sugar pill is said to be experiencing the A.control effect. B.experimental effect. C.independent effect. D.placebo effect. E.dependent effect. QUESTION 2 Why do some media reports about scientific discoveries end up being...
A clinical trial is conducted comparing a new pain reliever for arthritis to a placebo.
  A clinical trial is conducted comparing a new pain reliever for arthritis to a placebo. Participants are randomly assigned to receive the new treatment or a placebo and the outcome is pain relief within 30 minutes. Of the 120 participants who received the new medication, 44 reported pain relief, while 21 out of the 120 participants who received the placebo reported pain relief. Is there a significant difference in the proportions of patients reporting pain relief? Run the test...
A clinical trial is conducted comparing a new pain reliever for arthritis to a placebo. Participants...
A clinical trial is conducted comparing a new pain reliever for arthritis to a placebo. Participants are randomly assigned to receive the new treatment or a placebo and the outcome is pain relief within 30 minutes. The data are shown below. Pain Relief No Pain Relief New Medication 44 76 Placebo 21 99 Is there a significant difference in the proportions of patients reporting pain relief? Run the test at a 5% level of significance. Step 1.           Set up...
A clinical trial is conducted comparing a new pain reliever for arthritis to a placebo. Participants...
A clinical trial is conducted comparing a new pain reliever for arthritis to a placebo. Participants are randomly assigned to receive the new treatment or a placebo and the outcome is pain relief within 30 minutes. The data are shown here. Pain Relief No Pain Relief New Medication 45 75 Placebo 20 100 Is there a significant difference in the proportions of patients reporting pain relief? Run the test at a 5% level of significance. H0: p1= p2(equivalent to RD...
Terrace Labs produces a drug used for the treatment of arthritis. The drug is produced in...
Terrace Labs produces a drug used for the treatment of arthritis. The drug is produced in batches. In March​, Terrace​,which had no opening​ inventory, processed one batch of chemicals. It sold 2,100 gallons of product for human use and 500 gallons of the veterinarian product. Terrace uses the net realizable value method for allocating joint production costs. Chemicals costing $54,000 are mixed and​ heated, then a unique separation process then extracts the drug from the mixture. A batch yields a...
Consider the following data for the patients taking the drug (Ascorbic Acid). Placebo Drug Sum Cold...
Consider the following data for the patients taking the drug (Ascorbic Acid). Placebo Drug Sum Cold 36 87 123 NoCold 224 333 557 Sum 260 420 680 What is the probability that a patient has No Cold? Is this a marginal or joint probability? a) 0.18 marginal b) 0.62 marginal c) 0.82 marginal d) 0.82 joint e) 0.86 joint Question 15 What is the probability that a patient is taking Placebo and has No Cold? Is this a marginal or...
ADVERTISEMENT
ADVERTISEMENT
ADVERTISEMENT