Question

In: Advanced Math

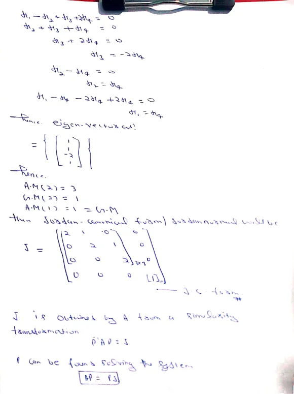
Consider the matrix A = [2, -1, 1, 2; 0, 2, 1, 1; 0, 0, 2,...

Consider the matrix A = [2, -1, 1, 2; 0, 2, 1, 1; 0, 0, 2, 2; 0, 0, 0, 1]. Find P, so that P^(-1) A P is in Jordan normal form.

Solutions

Expert Solution


Related Solutions

Consider the matrix A given by [ 2 0 0 ] [ 0 2 3 ]...
Consider the matrix A given by [ 2 0 0 ] [ 0 2 3 ] [ 0 3 10 ] (20) Find all its eigenvalues and corresponding eigenvectors. Show your work. (+5) Write down the entire eigendecomposition (i.e. the matrices X, Lambda, and X inverse) explicitly.
Given a matrix A = [?1 ? ? 0 ?2 ? 0 0 ?2], with ?1...
Given a matrix A = [?1 ? ? 0 ?2 ? 0 0 ?2], with ?1 ≠ ?2 and ?1, ?2 ≠ 0, A) Find necessary and sufficient conditions on a, b, and c such that A is diagonalizable. B) Find a matrix, C, such that C-1 A C = D, where D is diagonal. C) Demonstrate this with ?1 = 2, ?2 = 5, and a, b, and c chosen by you, satisfying your criteria from A).
Consider the given matrix. 3    0    0 0    2    0 16   ...
Consider the given matrix. 3    0    0 0    2    0 16    0    1 Find the eigenvalues. (Enter your answers as a comma-separated list.) λ = 1,2,3 Find the eigenvectors. (Enter your answers in order of the corresponding eigenvalues, from smallest eigenvalue to largest.)
Find a matrix P that diagonalizes the matrix A = [ 2 0 ?2 / 0...
Find a matrix P that diagonalizes the matrix A = [ 2 0 ?2 / 0 3 0 / 0 0 3 ] and compute P ?1AP.
Consider Matrix A = ([5, 0, 4],[1, -1, 0],[1, 1, 0]). Note that [5, 0, 4]...
Consider Matrix A = ([5, 0, 4],[1, -1, 0],[1, 1, 0]). Note that [5, 0, 4] is row 1. [1, -1, 0] is row 2. [1, 1, 0] is row 3. a) Find all Eigenvalues and Eigenvectors.
Matrix: Ax b [2 1 0 0 0 | 100] [1 1 -1 0 -1 |...
Matrix: Ax b [2 1 0 0 0 | 100] [1 1 -1 0 -1 | 0] [-1 0 1 0 1 | 50] [0 -1 0 1 1 | 120] [0 1 1 -1 1 | 0] Problem 5 Compute the solution to the original system of equations by transforming y into x, i.e., compute x = inv(U)y. Solution: %code I have not Idea how to do this. Please HELP!
Consider the 90 degrees rotation matrix R = [0 −1 1 0] a) Are the eigenvalues...
Consider the 90 degrees rotation matrix R = [0 −1 1 0] a) Are the eigenvalues real? b) Are the eigenvectors real? c) Find the determinant of R. d) Find the trace of R.
eigenvalues of the matrix A = [1 3 0, 3 ?2 ?1, 0 ?1 1] are...
eigenvalues of the matrix A = [1 3 0, 3 ?2 ?1, 0 ?1 1] are 1, ?4 and 3. express the equation of the surface x^2 ? 2y^2 + z^2 + 6xy ? 2yz = 16. How should i determine the order of the coefficient in the form X^2/A+Y^2/B+Z^2/C=1?
find all eigenvalues and eigenvectors of the given matrix A= [1 0 0 2 1 -2...
find all eigenvalues and eigenvectors of the given matrix A= [1 0 0 2 1 -2 3 2 1]
A:=<<0,-1,1>|<4,0,-2>|<2,-1,0>|<2,1,1>>; Matrix(3, 4, [[0, 4, 2, 2], [-1, 0, -1, 1], [1, -2, 0, 1]]) (a)...
A:=<<0,-1,1>|<4,0,-2>|<2,-1,0>|<2,1,1>>; Matrix(3, 4, [[0, 4, 2, 2], [-1, 0, -1, 1], [1, -2, 0, 1]]) (a) Use the concept of matrix Rank to argue, without performing ANY calculation, why the columns of this matrix canNOT be linerly independent. (b) Use Gauss-Jordan elimination method (you can use ReducedRowEchelonForm command) to identify a set B of linearly independent column vectors of A that span the column space of A. Express the column vectors of A that are not included in the set...
ADVERTISEMENT
ADVERTISEMENT
ADVERTISEMENT