Question

In: Advanced Math

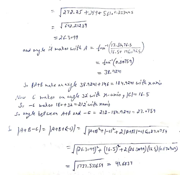
The vector A has a magnitude of 16.5 and a direction of 146 degrees. The vector...

The vector A has a magnitude of 16.5 and a direction of 146 degrees. The vector B has a magnitude of 17 and a direction of 69.5 degrees. The vector C has a magnitude of 16.5 and a direction of 32 degrees. All angles are measured counterclockwise from the positive x axis. The vector D follows the following relation: D = A + B − C What are the magnitude and direction of the vector D?

Solutions

Expert Solution


Related Solutions

A vector, V, has a magnitude of 350 N and a direction of 55°.   Determine the...
A vector, V, has a magnitude of 350 N and a direction of 55°.   Determine the following: Vx = ______ Vy = ______ If Vx = 12 m and Vy = 17 m then determine the following: What is the magnitude, V, of this vector? What is the direction, θ, of this vector? A hiker walks 2.5 km at an angle of 45 degrees north of west, and then hikes 4.0 km at an angle of 30 degrees north of...
vector a has a magnitude of 16m and a direction of 65 above the negative x...
vector a has a magnitude of 16m and a direction of 65 above the negative x axis. vecot b has a madnitude of 9.0m and is directed along the negative x axis. find the magnitude and direction of A+B
1. Magnitude & Direction of Vector Write a function m-file to find the magnitude and the...
1. Magnitude & Direction of Vector Write a function m-file to find the magnitude and the direction of cosine of vector F which expresses 3 dimension - x, y, and z. Here are requirements for the function m-file. - Parameter-list (input(s)): · 3 dimensional vector · row vector or column vector - undetermined - Return Value (outputs): · Magnitude of a given vector, |F| = √ F2 x + F2 y + F2 z · Angles(degree) from direction of cosine...
Magnitude and direction.
A long straight wire in the horizontal plane carries a current of 50A in north to south direction. Find the magnitude and direction of B at a point 2.5m east of the wire.
Magnitude and direction of the magnetic field
A proton moves perpendicular to a uniform magnetic field B at a speed of 1.30 x 10^7 m/s and experiences an acceleration of 2.40 x 10^13 m/s^2 in the positive x direction when its velocity is in the positive z direction.  Determine the magnitude and direction of the field?
What are the magnitude and direction of the electric field?
A small object of mass 3.96 g and charge -17.1 µC is suspended motionless above the ground when immersed in a uniform electric field perpendicular to the ground. What are the magnitude and direction of the electric field?What is the magnitude _________ N/CWhat is the direction (upward East West downward)
You are given a vector in the xy plane that has a magnitude of 82.0 units...
You are given a vector in the xy plane that has a magnitude of 82.0 units and a y component of -58.0 units. Part A What are the two possibilities for its x component? Enter your answers using three significant figures separated by a comma. Part B Assuming the x component is known to be positive, specify the magnitude of the vector which, if you add it to the original one, would give a resultant vector that is 80.0 units...
The vector product of vectors A⃗ and B⃗ has magnitude 20.0 m2 and is in the...
The vector product of vectors A⃗ and B⃗ has magnitude 20.0 m2 and is in the +z-direction. Vector A⃗ has magnitude 8.0 m and is in the −x-direction. Vector B⃗ has no x-component. Part a : What is the magnitude of vector B⃗ ? Part b:What is the direction angle θ of vector B⃗ measured from the +y-direction to the +z-direction?
You are given a vector in the xy plane that has a magnitude of 89.0 units...
You are given a vector in the xy plane that has a magnitude of 89.0 units and a y component of -60.0 units. What are the two possibilities for its x component? Assuming the x component is known to be positive, specify the magnitude of the vector which, if you add it to the original one, would give a resultant vector that is 80.0 units long and points entirely in the −x direction. Specify the direction of the vector.
You are given a vector in the xy plane that has a magnitude of 86.0 units...
You are given a vector in the xy plane that has a magnitude of 86.0 units and a y component of -55.0 units. a.)What are the two possibilities for its x component? b.)Assuming the x component is known to be positive, specify the magnitude of the vector which, if you add it to the original one, would give a resultant vector that is 80.0 units long and points entirely in the ?x direction. c.)Specify the direction of the vector.
ADVERTISEMENT
ADVERTISEMENT
ADVERTISEMENT