Question

In: Physics

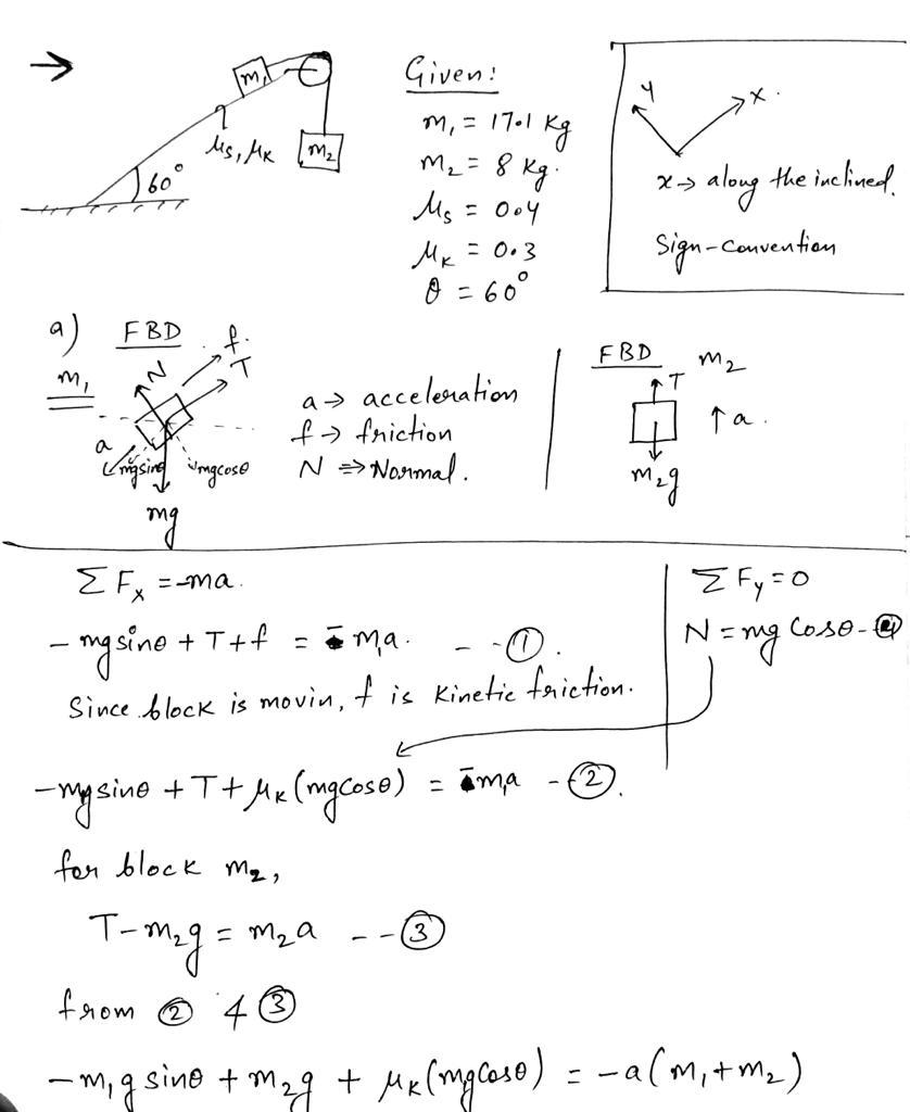
a 17.1-kg crate starts at rest at the top of a 60 degree incline. The coefficients...

a 17.1-kg crate starts at rest at the top of a 60 degree incline. The coefficients of frictuon are us=.400 ans uk=.300. The crate is connected to a hanging 8.00kg box and an ideal rope and pulley.
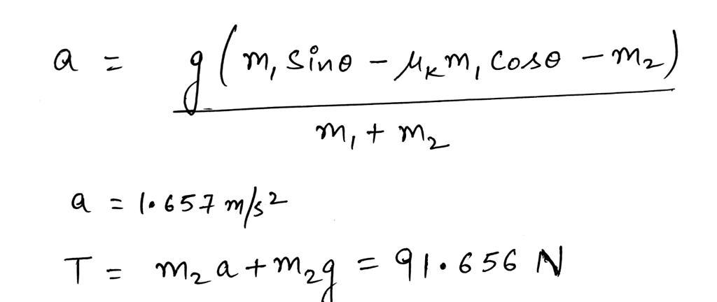
a) as the crate slides down the incline, what is the tension in the rope?
b) How long does it take the crate ti slide 2.00m down the incline?
c) to push the crate back up the incline at a constant speed, with what force should you push on the crate ? (parallel to incline)
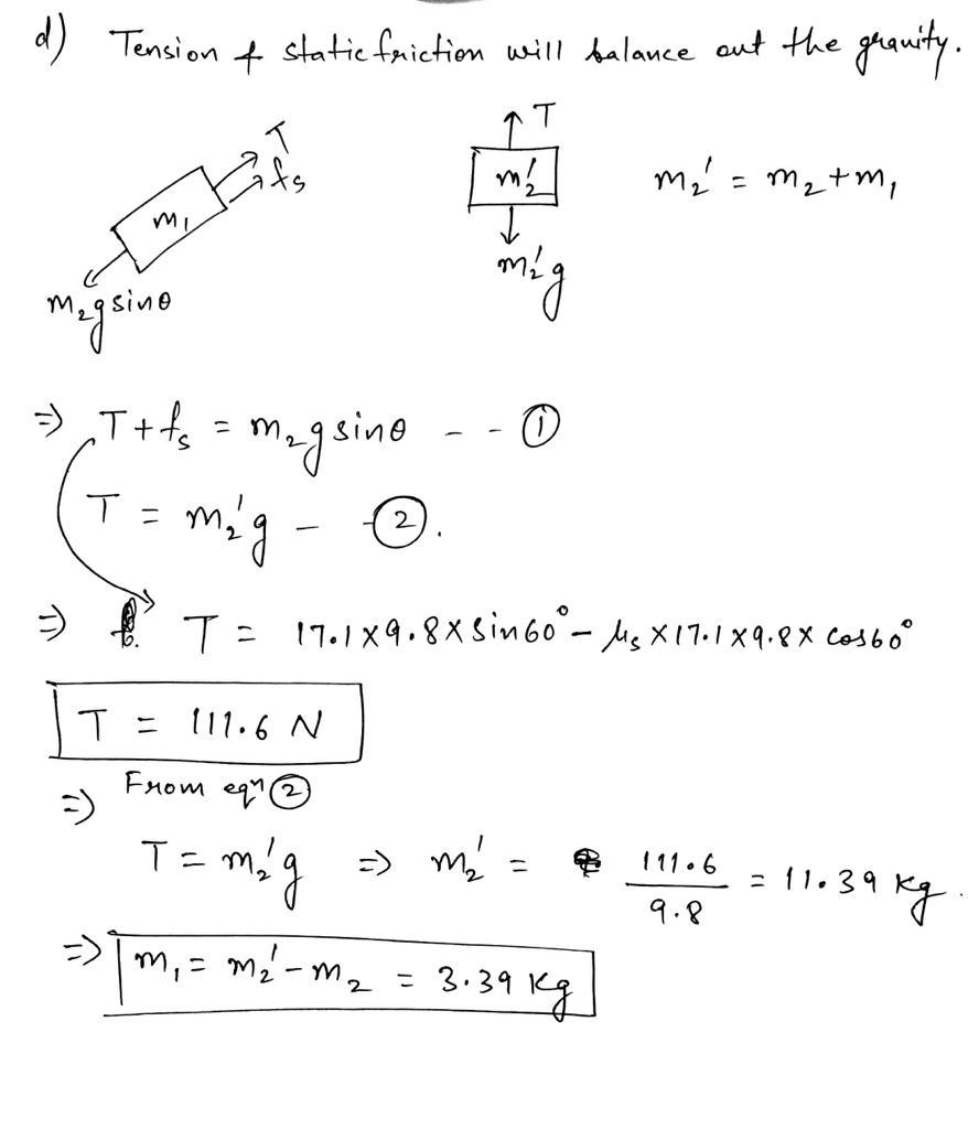
d) what is the smallest mass that you could substitute for the 8.00 kg box to keep the crate from sliding down the incline?

Solutions

Expert Solution


Related Solutions

A 3.60-kg block starts from rest at the top of a 30.0° incline and slides a...
A 3.60-kg block starts from rest at the top of a 30.0° incline and slides a distance of 2.30 m down the incline in 1.80 s. (a) Find the magnitude of the acceleration of the block. (b) Find the coefficient of kinetic friction between block and plane. (c) Find the friction force acting on the block. magnitude direction (d) Find the speed of the block after it has slid 2.30 m.
Ugonna stands at the top of an incline and pushes a 100−kg crate to get it...
Ugonna stands at the top of an incline and pushes a 100−kg crate to get it started sliding down the incline. The crate slows to a halt after traveling 1.50 m along the incline. (a) If the initial speed of the crate was 1.85 m/s and the angle of inclination is 30.0°, how much energy was dissipated by friction? (b) What is the coefficient of sliding friction?
A 35.0-kg crate is initially at rest at the top of a ramp that is inclined...
A 35.0-kg crate is initially at rest at the top of a ramp that is inclined at an angle θ = 30◦ above the horizontal. You release the crate and it slides 1.25 m down the ramp before it hits a spring attached to the bottom of the ramp. The coefficient of kinetic friction between the crate and the ramp is 0.500 and the constant of the spring is k = 6000 N/m. What is the net impulse exerted on...
A 25.0-kg crate is initially at rest at the top of a ramp that is inclined...
A 25.0-kg crate is initially at rest at the top of a ramp that is inclined at an angle θ = 30.0 ◦ above the horizontal. You release the crate and it slides 1.25 m down the ramp before it hits a spring attached to the bottom of the ramp. The coefficient of kinetic friction between the crate and the ramp is 0.400 and the constant of the spring is k = 5000 N/m. How far does the crate compress...
A skier of mass 75kg starts from rest at the top of a friction less incline...
A skier of mass 75kg starts from rest at the top of a friction less incline that is 20.0 m in height. As soon as she touches the bottom of the incline, she encounters a horizontal surface that is 1000 m long and the skier eventually comes to rest. The coefficient of kinetic friction between skier and snow is 0.205. Find the distance the skier covers before coming to rest. Show all work.
A block of mass 23 kg is set on top of a 37 degree incline with...
A block of mass 23 kg is set on top of a 37 degree incline with a hight of 13.5 m. The incline rests on a table that is 27.8 m above the ground on the planet Mercury (M = 3.285 * 10^23 kg, R = 1516 mi). The coefficient of kinetic friction between the block and the incline is 0.18. The gravitational acceleration on Mercury is 3.68 m/s. How far from the base of the table does the block...
A hoop with a mass of 3.15 kg starts from rest at the top of a...
A hoop with a mass of 3.15 kg starts from rest at the top of a ramp. The ramp is 5.0 m long and 2.1 m high. What is the rotational kinetic energy of the hoop after it has rolled without slipping to the bottom? 16 J 32 J 22 J 78 J
10 kg crate is pulled 4.9 m up a 34 degree incline by a rope angled...
10 kg crate is pulled 4.9 m up a 34 degree incline by a rope angled 16 degree above the incline. The tension in the rope is 125 N, and the crate's coefficient of kinetic friction on the incline is 0.26. How much work is done by: a. Tension? J b. Gravity? J c. Normal Force? J d. What is the increase in thermal energy of the crate and incline? J
A toy car with a mass of 1 kg starts from rest at the top of...
A toy car with a mass of 1 kg starts from rest at the top of a ramp at point A. The toy car is released from rest, rolls 2 meters down the ramp, then another 3 meters across the floor to point B where its speed is measured to be 4.24 m/s. The air exerts a resistance force of 2.0 N on the car as it moves from A to B. Find the initial height of the car at...
A toy car with a mass of 1 kg starts from rest at the top of a ramp at point A.
A toy car with a mass of 1 kg starts from rest at the top of a ramp at point A. The toy car is released from rest, rolls 2.0 meters down the ramp, then another 3.0 meters across the floor to point B where its speed is measured to be 4.24 m/s. The air exerts a resistance force of 2.0 N on the car as it moves from A to B. Find the initial height of the car at...
ADVERTISEMENT
ADVERTISEMENT
ADVERTISEMENT