Question

In: Economics

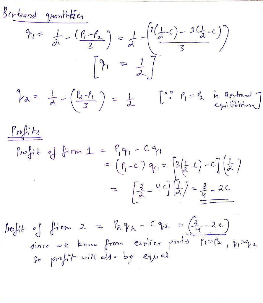
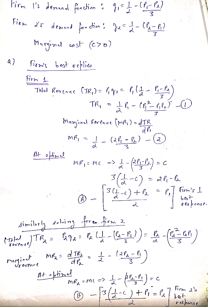
Consider the Bertrand duopoly model with differentiated products. Firm 1's demand function is q1 = 1/2-(P1-P2)/3,...

Consider the Bertrand duopoly model with differentiated products. Firm 1's demand function is q1 = 1/2-(P1-P2)/3, and Firm 2's demand function is q2 = 1/2 - (P2-P1)/3. Firms have identical marginal costs c>0. a) Derive firms' best replies and draw them. b) Compute the Bertrand equilibrium prices, quantities, and profits (show all the steps of the derivation)

Solutions

Expert Solution


Related Solutions

Consider the following asymmetric-information model of Bertrand duopoly with differentiated products. Demand for firm i is...
Consider the following asymmetric-information model of Bertrand duopoly with differentiated products. Demand for firm i is qi(pi,pj) = a−pi + bi ·pj. Costs are zero for both firms. The sensitivity of firm i’s demand to firm j’s price is either high or low. That is, bi is either bH or bL, where bH > bL > 0. For each firm, bi = bH with probability θ and bi = bL with probability 1−θ, independent of the realization of bj. Each...
10. Given the demand function of good 1: Q1=200-5P1+(P2)^2 Q1: the demand for good 1 P1:...
10. Given the demand function of good 1: Q1=200-5P1+(P2)^2 Q1: the demand for good 1 P1: the price for good 1 P2: the price of good 2 Answer the following questions What is the inverse demand function of good 1? Derive the expression of total revenue in terms of quantity of good 1(Q1) and price of good 2(P2). If total cost function C(Q1) = 30+(Q1)^2 , derive the profit function in terms of quantity of good 1(Q1) and price of...
Two firms produce differentiated products with demand curves p1=a−q1−bq2 and p2=a−q2−bq1. They both face constant average...
Two firms produce differentiated products with demand curves p1=a−q1−bq2 and p2=a−q2−bq1. They both face constant average and marginal cost c and their profit functions are Π1=(p1−c)q1 and Π2=(p2−c)q2. Solve the Cournot game.
1. Consider a differentiated Bertrand market with three firms, whose demand curves are: Q1 = 300-10P1+3P2...
1. Consider a differentiated Bertrand market with three firms, whose demand curves are: Q1 = 300-10P1+3P2 +2P3 Q2 = 300-8P2 +2P1 + P3 Q3= 50-3P3+P1+P2. Firms 1 and 2 both have marginal costs of 10 and Firm 3 has a marginal cost of 15. a. Calculate the equilibrium prices and quantities. b. Calculate the market shares. c. By specific reference to the HMGLs, would the two lead federal agencies be likely to regard a merger between Firm 2 and Firm...
Recall the static Bertrand duopoly model (with homogenous products): the firms name prices simultaneously; demand for...
Recall the static Bertrand duopoly model (with homogenous products): the firms name prices simultaneously; demand for firm i's product is a - pi if pi < pj, is 0 if pi > pj, and is (a-pi)/2 if pi = pj; marginal costs are c < a. Consider the infinitely repeated game based on this stage game. Show that the firms can use trigger strategies (that switch forever to the stage-game Nash equilibrium after any deviation) to sustain the monopoly price...
Given this demand curve for coffee in lbs, Q1 = 2 -1*p1 + 0.5* p2 +...
Given this demand curve for coffee in lbs, Q1 = 2 -1*p1 + 0.5* p2 + .01*Y +ε1, where Q1 is the demand for coffee and p1 is the price of coffee per lb, p2 is the price per lb of a related good and Y is the consumer’s weekly budget (20 points) Which variable is the dependent variable and which are independent variables and why? What does each coefficient (parameter) mean as they apply to changes in demand for...
4. Consider a Cournot duopoly with inverse demand function P = 100 – Q. Firm 1’s...
4. Consider a Cournot duopoly with inverse demand function P = 100 – Q. Firm 1’s cost function is C1(q1) = 20q1, and firm 2’s cost function is C2(q2) = 30q2. Firms choose quantities once and simultaneously. (a) Write out each firm’s profit function. From these, derive the reaction functions of each firm, and solve for the Nash equilibrium quantities, price and profits. Illustrate your answer on a graph of the reaction functions (you do not need to draw isoprofit...
The demand function in a duopoly is: P = 100 – 2(Q1 + Q2). If the...
The demand function in a duopoly is: P = 100 – 2(Q1 + Q2). If the first firm decides to sell 10 units while the second firm sells 20 units, which of the following will be true? The second firm will earn twice as much revenue as the first firm. The second firm will sell at a lower price than the first firm. An increase in one firm’s output will not affect the other firm’s revenue. The first firm will...
Consider a differentiated Bertrand market with three firms, whose demand curves are: Q1 = 300-10P1+3P2 +2P3...
Consider a differentiated Bertrand market with three firms, whose demand curves are: Q1 = 300-10P1+3P2 +2P3 Q2 = 300-8P2 +2P1 + P3 Q3= 50-3P3+P1+P2. Firms 1 and 2 both have marginal costs of 10 and Firm 3 has a marginal cost of 15. P1 = 26.80; P2 = 28.66; P3 = 25.07. a. Calculate the market shares of each product If Firm 2 and 3 merge Firm 3’s marginal cost will fall to 10 as a result of the merger....
Suppose the expenditure function is e(p, u) = p1 * p2 + 2p1^1/2 * p2^ 1/2...
Suppose the expenditure function is e(p, u) = p1 * p2 + 2p1^1/2 * p2^ 1/2 * u. Then ∂e/∂p1 (p, u) = p2 + (p2/p1)^1/2*u and ∂e/∂p2(p, u) = p1 + (p1/p2)^1/2*u (a) Find the Hicksian demand function h(p, u). (b) Find the indirect utility function v(p,w) (this should be a function of w, p1, and p2). (c) Find the demand function x(p, w). Are goods 1 and 2 substitutes or complements?
ADVERTISEMENT
ADVERTISEMENT
ADVERTISEMENT