In: Economics
Suppose the expenditure function is e(p, u) = p1 * p2 + 2p1^1/2 * p2^ 1/2 * u. Then ∂e/∂p1 (p, u) = p2 + (p2/p1)^1/2*u and ∂e/∂p2(p, u) = p1 + (p1/p2)^1/2*u
(a) Find the Hicksian demand function h(p, u).
(b) Find the indirect utility function v(p,w) (this should be a function of w, p1, and p2).
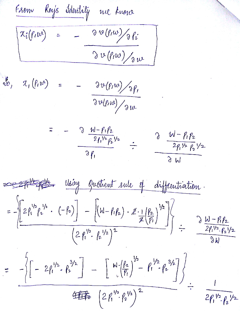
(c) Find the demand function x(p, w). Are goods 1 and 2 substitutes or complements?







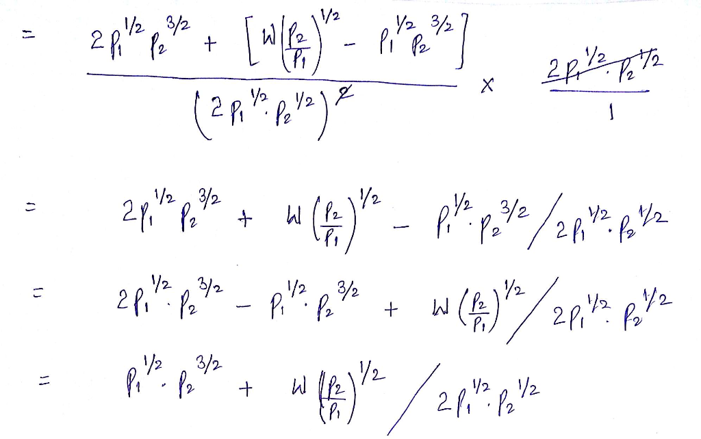
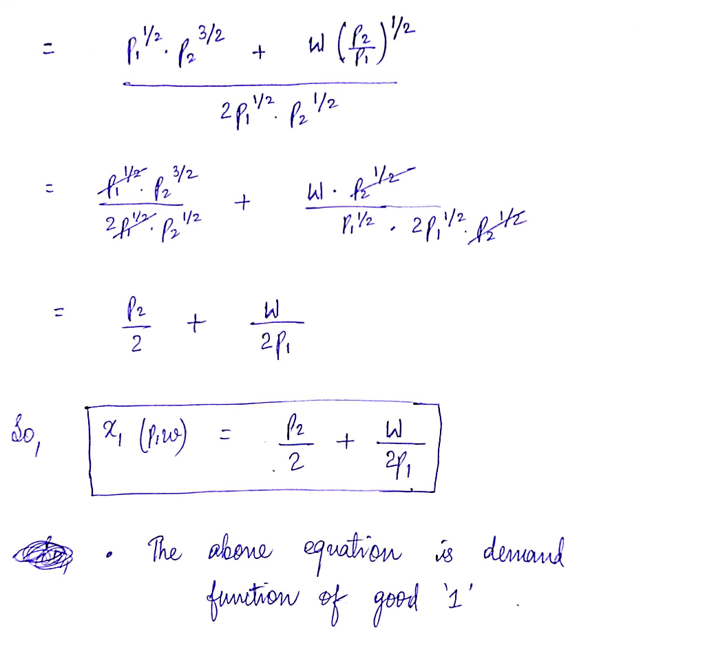
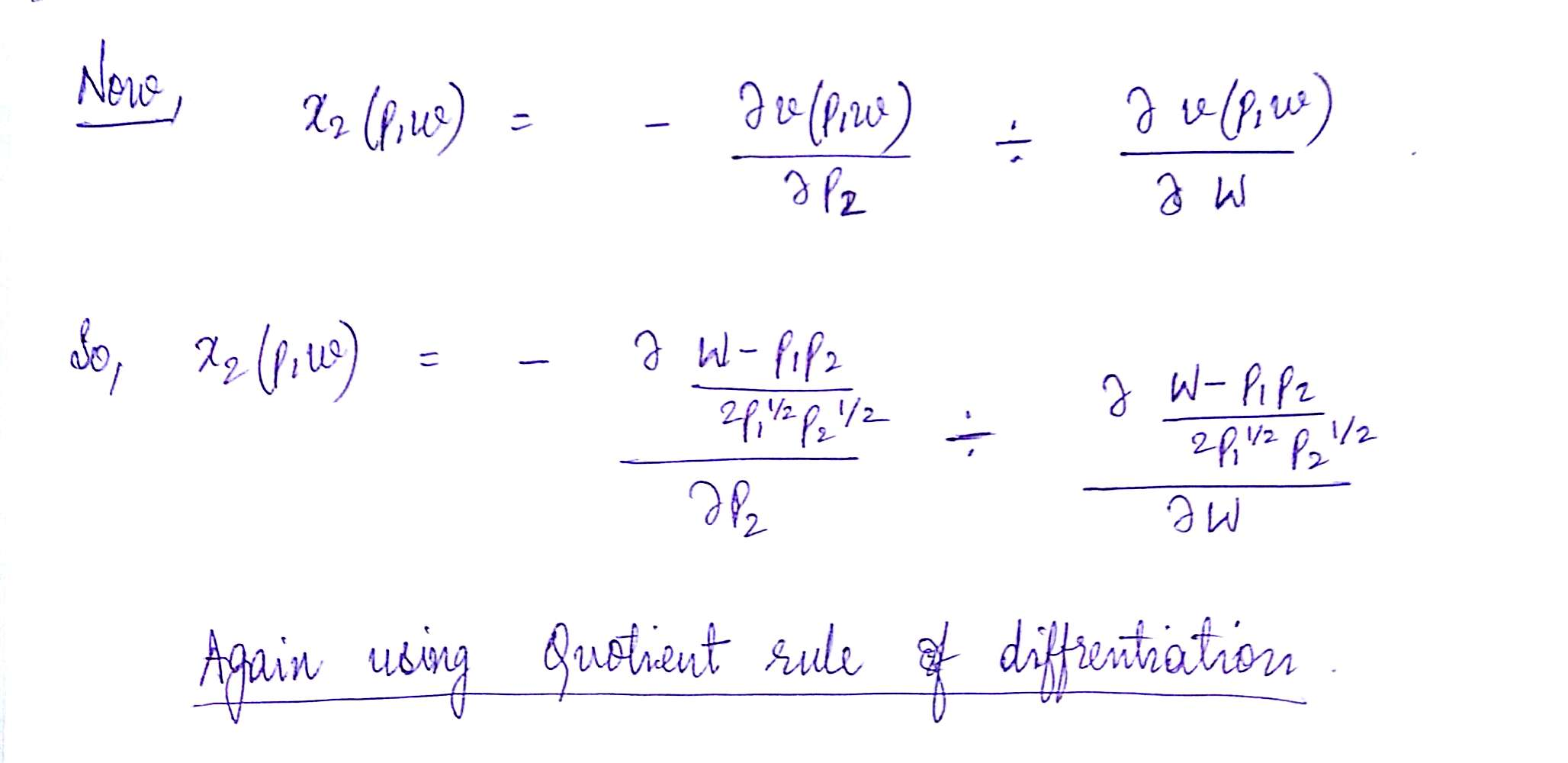
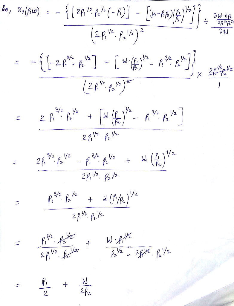
Now demand function of goods 1 and
2 are :-

So, From Demand of x1, we can see that as p2 rises then x1 will rise hence both goods are substitutes.
Similarly, From Demand of x2 , we can see that as p1 rises then x2 rises hence both goods are substitutes.
So both the demand confirms that both goods are Substitutes.