Question

In: Math

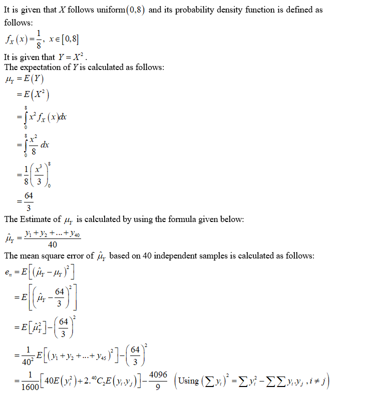
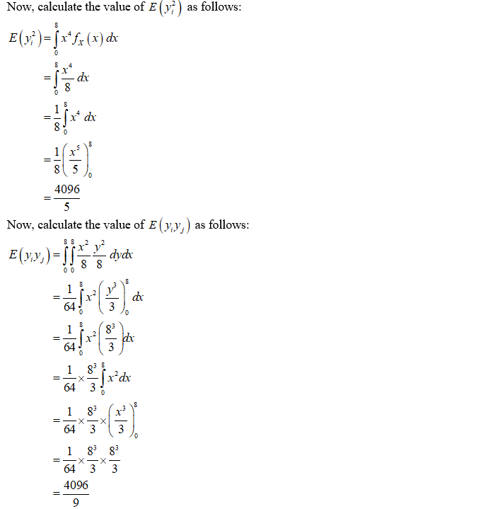
X is a continuous uniform (0,8) random variable. Define Y=X^2. What is the mean square error...

X is a continuous uniform (0,8) random variable. Define Y=X^2.

What is the mean square error of the estimate of μY based on 40 independent samples of X?

en = ?

Solutions

Expert Solution


Related Solutions

Random variable X is a continuous uniform (0,4) random variable and Y=X^(1/2). (Note: Y is always...
Random variable X is a continuous uniform (0,4) random variable and Y=X^(1/2). (Note: Y is always the positive root.) What is the P[X>=E[X]] ? What is the E[Y] ? what is the P[Y>=E[Y]]? what is the PFD of fY(y)?
Let X be a continuous random variable that has a uniform distribution between 0 and 2...
Let X be a continuous random variable that has a uniform distribution between 0 and 2 and let the cumulative distribution function F(x) = 0.5x if x is between 0 and 2 and let F(x) = 0 if x is not between 0 and 2. Compute 1. the probability that X is between 1.4 and 1.8 2. the probability that X is less than 1.2 3. the probability that X is more than 0.8 4. the expected value of X...
Let U be a uniform continuous random variable on the interval [2, 8]. (a) What is...
Let U be a uniform continuous random variable on the interval [2, 8]. (a) What is P(U = 4)? (b) What is P(U ≤ 4)? (c) What is P(4 ≤ U ≤ 7)? (d) Find a formula for FU(x). (e) Find a formula for fU(x). (f) What is E(U)? (g) What is Var(U)? (h) What is E(1 − U 2 )?
Problem 2. (a) Prove that, if two continuous random variable X and Y are independent P(X...
Problem 2. (a) Prove that, if two continuous random variable X and Y are independent P(X > x, Y > y) = P(X > x)P(Y > y) (b) Now prove that, under the same conditions, X,Y, independent continuous random variables, E(XY) = E(X)E(Y).
X is an independent standard uniform random variable X ∼ Uniform(0, 1) Y is an independent...
X is an independent standard uniform random variable X ∼ Uniform(0, 1) Y is an independent standard uniform random variable Y ∼ Uniform(0, 1) U = min(X, Y ) V = max(X, Y ) Find the correlation coefficient of V and U , ρ(U, V) = Correlation(U, V).
A random variable X follows the continuous uniform distribution with a lower bound of ?8 and...
A random variable X follows the continuous uniform distribution with a lower bound of ?8 and an upper bound of 11. a. What is the height of the density function f(x)? (Round your answer to 4 decimal places.)   f(x)    b. What are the mean and the standard deviation for the distribution? (Round your answers to 2 decimal places.)   Mean      Standard deviation    c. Calculate P(X ? ?6). (Round intermediate calculations to 4 decimal places and final answer to...
Let X, Y be independent random variables with X ∼ Uniform([1, 5]) and Y ∼ Uniform([2,...
Let X, Y be independent random variables with X ∼ Uniform([1, 5]) and Y ∼ Uniform([2, 4]). a) FindP(X<Y). b) FindP(X<Y|Y>3) c) FindP(√Y<X<Y).
2. Let X be a uniform random variable over the interval (0, 1). Let Y =...
2. Let X be a uniform random variable over the interval (0, 1). Let Y = X(1-X). a. Derive the pdf for Y . b. Check the pdf you found in (a) is a pdf. c. Use the pdf you found in (a) to find the mean of Y . d. Compute the mean of Y by using the distribution for X. e. Use the pdf of Y to evaluate P(|x-1/2|<1/8). You cannot use the pdf for X. f. Use...
A random variable Y is a function of random variable X, where y=x^2 and fx(x)=(x+1)/2 from...
A random variable Y is a function of random variable X, where y=x^2 and fx(x)=(x+1)/2 from -1 to 1 and =0 elsewhere. Determine fy(y). In this problem, there are two x values for every y value, which means x=T^-1(y)= +y^0.5 and -y^0.5. Be sure you account for both of these. Ans: fy(y)=0.5y^-0.5
Let x be a continuous random variable that is normally distributed with a mean of 65...
Let x be a continuous random variable that is normally distributed with a mean of 65 and a standard deviation of 15. Find the probability that x assumes a value: less than 48 greater than 87             between 56 and 70
ADVERTISEMENT
ADVERTISEMENT
ADVERTISEMENT