Question

In: Physics

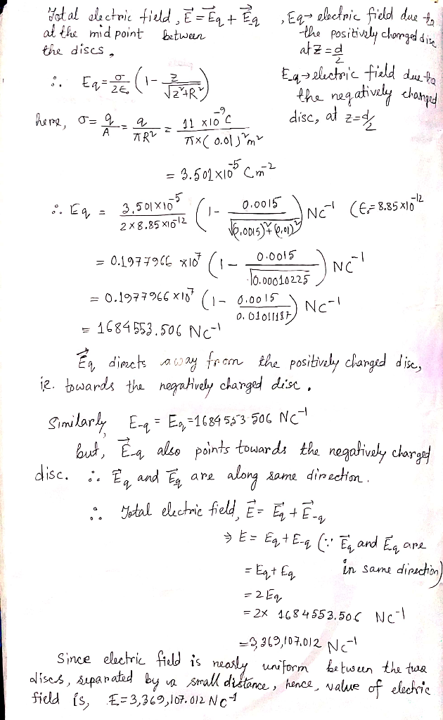
Two 2.0 cm -diameter disks face each other, 3.0 mm apart. They are charged to ±11nC....

Two 2.0 cm -diameter disks face each other, 3.0 mm apart. They are charged to ±11nC.

Part A

What is the electric field strength between the disks?

Part B

A proton is shot from the negative disk toward the positive disk. What launch speed must the proton have to just barely reach the positive disk?

Solutions

Expert Solution


Related Solutions

Two 4.0-cm-diameter disks face each other, 2.0mm apart. They are charged to
Two 4.0-cm-diameter disks face each other, 2.0mm apart. They are charged to
Two 10-cm-diameter charged disks face each other, 23 cm apart. The left disk is charged to...
Two 10-cm-diameter charged disks face each other, 23 cm apart. The left disk is charged to - 50 nC and the right disk is charged to + 50 nC . A) What is the electric field E⃗ , both magnitude and direction, at the midpoint between the two disks? B) To the left disk. To the right disk. Parallel to the plane of the disks. C)What is the force F⃗  on a -3.0 nC charge placed at the midpoint?
Two 10-cm-diameter charged rings face each other, 19 cm apart. The left ring is charged to...
Two 10-cm-diameter charged rings face each other, 19 cm apart. The left ring is charged to -30 nC and the right ring is charged to +30 nC . Part A What is the magnitude of the electric field E⃗  at the midpoint between the two rings? Express your answer to two significant figures and include the appropriate units. Part B What is the direction of the electric field E⃗  at the midpoint between the two rings? What is the direction of the...
Two 10-cm-diameter charged rings face each other, 15 cm apart. The left ring is charged to...
Two 10-cm-diameter charged rings face each other, 15 cm apart. The left ring is charged to − 30 nC and the right ring is charged to + 30 nC. What is the magnitude of the electric field E⃗  at the midpoint between the two rings? What is the direction of the electric field E⃗  at the midpoint between the two rings? What is the magnitude of the force on a proton at the midpoint?
Two 2.7 cmcm -diameter disks face each other, 2.2 mmmm apart. They are charged to ±15nC±15nC....
Two 2.7 cmcm -diameter disks face each other, 2.2 mmmm apart. They are charged to ±15nC±15nC. 1.)What is the electric field strength between the disks? 2.)A proton is shot from the negative disk toward the positive disk. What launch speed must the proton have to just barely reach the positive disk?
Two 15-cm-diameter metal disks separated by a 0.69-mm-thick piece of Pyrex glass are charged to a...
Two 15-cm-diameter metal disks separated by a 0.69-mm-thick piece of Pyrex glass are charged to a potential difference of 1100 V . What is the surface charge density on the disks? What is the surface charge density on the glass?
Two 15-cm-diameter metal disks separated by a 0.59-mm-thick piece of Pyrex glass are charged to a...
Two 15-cm-diameter metal disks separated by a 0.59-mm-thick piece of Pyrex glass are charged to a potential difference of 1600 V . A) What is the surface charge density on the disks? η =   (in μC/m^2) B) What is the surface charge density on the glass? η (glass) = (in μC/m^2)
Two 10-cm-diameter charged rings face each other, 20.0 cmapart. Both rings are charged to + 10.0...
Two 10-cm-diameter charged rings face each other, 20.0 cmapart. Both rings are charged to + 10.0 nC . What is the electric field strength A.)at the midpoint between the two rings? B.)at the center of the left ring?
Two 2.0 cm ×2.0 cm square aluminum electrodes, spaced 0.80 mm apart, are connected to a...
Two 2.0 cm ×2.0 cm square aluminum electrodes, spaced 0.80 mm apart, are connected to a 200 V battery. Part A---- What is the capacitance? Express your answer in picofarads. Part B ----What is the charge on the positive electrode? Express your answer in coulombs.
1. Two 2.0 cm by 2.0 cm metal electrodes are spaced 1.0 mm apart and connected...
1. Two 2.0 cm by 2.0 cm metal electrodes are spaced 1.0 mm apart and connected by wires of the terminals of a 9.0 V battery. a. What are the charge on each electrode and the potential difference between them? b. If the wires are disconnected, and insulating handles are used to pull the plates apart to a new spacing of 2.0 mm, what are the charge on each electrode and the potential difference between them? c. If instead, the...
ADVERTISEMENT
ADVERTISEMENT
ADVERTISEMENT