Question

In: Chemistry

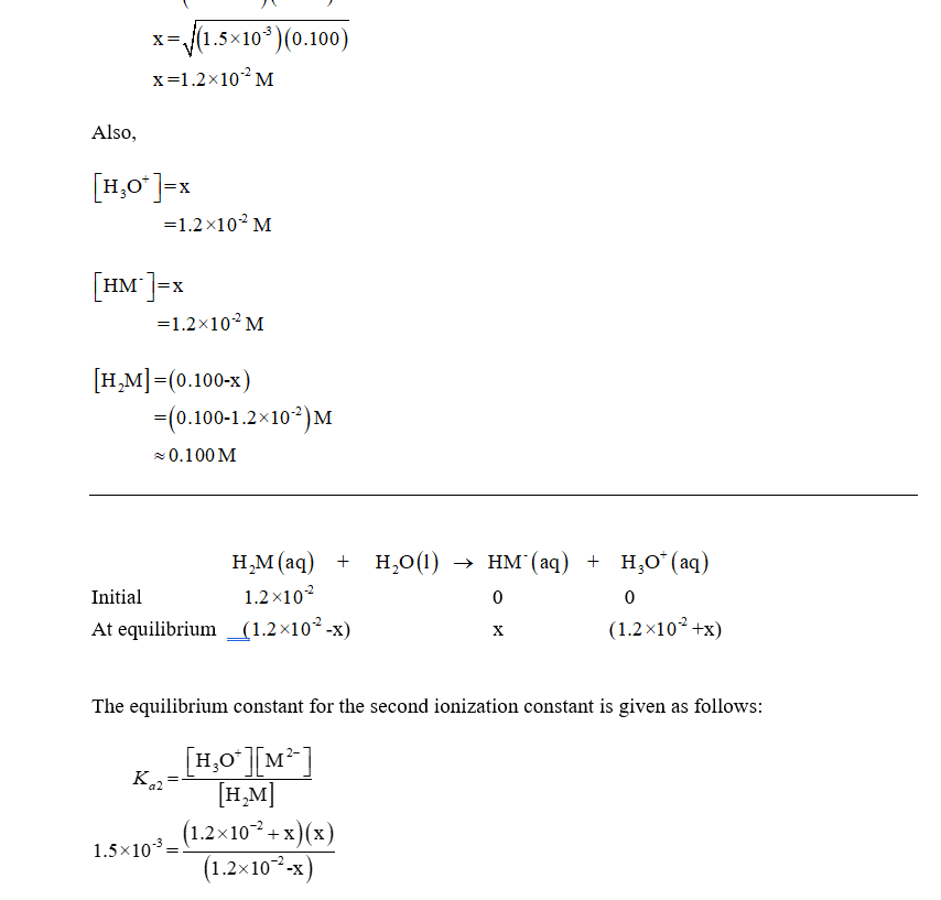
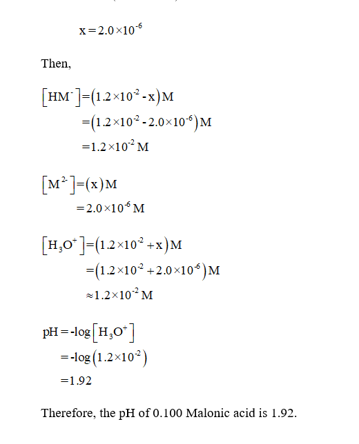
We will abbreviate Malonic acid, CH2(CO2H)2 as H2M. Find the pH and concentrations of H2M, HM-,...

We will abbreviate Malonic acid, CH2(CO2H)2 as H2M. Find the pH and concentrations of H2M, HM-, and M^2- in a) .1 M H2M b) .1 M NaHM c) .1 M Na2M

Solutions

Expert Solution


Related Solutions

We will abbreviate malonic acid, CH2(CO2H)2, as H2M. Find the pH and concentrations of H2M, HM+
We will abbreviate malonic acid, CH2(CO2H)2, as H2M. Find the pH and concentrations of H2M, HM+, and M2+ in (a) 0.100 M H2M; (b) 0.100 M NaHM; (c) 0.100 M Na2M.    
Malonic acid (H2M) is a diprotic acid. You wish to prepare a buffer of malonic acid...
Malonic acid (H2M) is a diprotic acid. You wish to prepare a buffer of malonic acid (pKa1 = 2.847, pKa2= 5.696) with a final pH of 2.90 but you only have disodium malonate (M2-) in your laboratory shelf. You dissolve 100 mmol of this salt in 1 L of water. Assume both dissociation processes are decoupled. What is the initial pH of the solution? State any assumptions you make. How many equivalents of strong acid must you add to your...
Malonic acid (FW = 104.06) is a diprotic acid of the form CH2(COOH)2, with pKa1 =...
Malonic acid (FW = 104.06) is a diprotic acid of the form CH2(COOH)2, with pKa1 = 2.847 and pKa2 = 5.696. Assume all solutions are ideal. (a) If 15.000 g of malonic acid is added to 100 mL of pure water, what will the pH of the solution be? (b) You add 18 mL of 5 M NaOH to the solution in part (a). What will the new pH be? (c) You then add 5.000 g of sodium malonate (Na2CH2(COO),...
A 25.00 mL sample of 0.120 M of the diprotic malonic acid, HOOC-CH2-COOH, was titrated with...
A 25.00 mL sample of 0.120 M of the diprotic malonic acid, HOOC-CH2-COOH, was titrated with 0.250 M NaOH. If the following results were obtained, calculate Ka1 and Ka2. mL NaOH added: 5.00 6.00 10.00 12.00 15.00 18.00 20.00 24.00 pH: 2.68 2.83 3.53 4.26 5.21 5.69 6.00 9.24
What is the pH of a solution that is 0.0924 M in malonic acid? What will...
What is the pH of a solution that is 0.0924 M in malonic acid? What will be the equilibrium concentration of each of the three malonic acid species? pKa1 = 2.85 pKa2 = 5.70 pH: _________________ [H2A]: ____________________ [HA-]: _________________ [A2-]: _________________
The net equation for the Briggs-Rauscher reaction is: IO3- + 2H2O2 + H+ + CH2(CO2H)2 ------->...
The net equation for the Briggs-Rauscher reaction is: IO3- + 2H2O2 + H+ + CH2(CO2H)2 -------> ICH(CO2H)2 + 2O2 + 3H2O From the exact concentrations and amounts of reagents you created and worked with (i.e the volumes when performing the reaction), calculate the grams of oxygen that have been formed when the reaction is complete. What reagent is limiting? Show all work. (NOTE: Volume of Malonic Acid 10mL, volume of Manganese Sulfate Monohydrate 10mL, Potassium Iodate 10mL, 1mL of starch).
Calculate the pH and concentration of all species of malonic acid (C3H4O4) in each of the...
Calculate the pH and concentration of all species of malonic acid (C3H4O4) in each of the follwing solutions. K1=1.42*10^-3, K2=2.01*10^-6 0.100 M NaC3H3O4 solution 0.100 M Na2C3H2O4 solution
Initial pH: 2.54 malonic acid (C3H4O4) sodium malonate (NaC3H3O4) Addition of HCl (drop in pH) mL...
Initial pH: 2.54 malonic acid (C3H4O4) sodium malonate (NaC3H3O4) Addition of HCl (drop in pH) mL of HCl added ΔpH 4.12 -0.51 6.93 -0.69 11.59 -0.89 25.63 -1.09 49.9 -1.24 Addition of NaOH (increase in pH) mL of NaOH added ΔpH 1.91 2.77 2.61 3.00 3.56 3.21 4.43 3.48 4.98 3.69 5.39 3.96 5.87 4.25 6.36 4.51 6.9 4.71 Clearly outline how you made your assigned buffer with its target pH. Assuming no volume change, how many mL of 0.1...
Phosphoric acid, H3PO4(aq), is a triprotic acid. Calculate the pH and concentrations of H3O + (aq),...
Phosphoric acid, H3PO4(aq), is a triprotic acid. Calculate the pH and concentrations of H3O + (aq), H3PO4(aq), H2PO4 − (aq), HPO4 2− (aq), PO4 3− (aq), and OH− (aq) in a 0.100-M phosphoric acid solution at 25°C.
Consider the diprotic acid h2a with k1=1.00x10-4 and k2=1.00x10-8. find the pH and concentrations of h2a,...
Consider the diprotic acid h2a with k1=1.00x10-4 and k2=1.00x10-8. find the pH and concentrations of h2a, ha-, and a2- in (a) 0.100 M H2A (b) 0.100 M NaHA (c) 0.100 M Na2A
ADVERTISEMENT
ADVERTISEMENT
ADVERTISEMENT