Question

In: Math

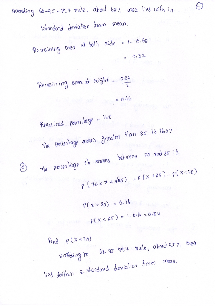
Assume that a set of test scores is normally distributed with a mean of 80 and...

Assume that a set of test scores is normally distributed with a mean of 80 and a standard deviation of 5. Use the​ 68-95-99.7 rule to find the following quantities.

a. The percentage of scores less than 80 is​._____% ​(Round to one decimal place as​ needed.)

b. The percentage of scores greater than 85 is​.___%. ​(Round to one decimal place as​ needed.)

c. The percentage of scores between 70 and 85 is​.____%​ (Round to one decimal place as​ needed.)

Solutions

Expert Solution


Related Solutions

Assume that a set of test scores is normally distributed with a mean of 80 and...
Assume that a set of test scores is normally distributed with a mean of 80 and a standard deviation of 15 Use the​ 68-95-99.7 rule to find the following quantities. a. The percentage of scores less than 80 is ___%. ​(Round to one decimal place as​ needed.) b. The percentage of scores greater than 95 is ___​% ​(Round to one decimal place as​ needed.) c. The percentage of scores between 50 and 95 is ___​%. ​(Round to one decimal place...
Assume that a set of test scores is normally distributed with a mean of 120 and...
Assume that a set of test scores is normally distributed with a mean of 120 and a standard deviaton of 5. Use the 68-95-99.7 rule to the find the followng quantities. a. The percentage of scores less than 120 is ____% (round to one decimal place as needed). b. The percentage of scores greater than 125 is ______% (round to one decimal place as needed). c. The percentage of scores between 110 and 125 is ____% (round to one decimal...
A set of test scores is normally distributed. If 80% of the scores are above 90...
A set of test scores is normally distributed. If 80% of the scores are above 90 and 30% of the test scores are below 70%, what are the mean and standard deviation of the distribution?
Suppose that scores on a test are normally distributed with a mean of 80 and a...
Suppose that scores on a test are normally distributed with a mean of 80 and a standard deviation of 8. Which of the following questions below are of type B? a. Find the 80th percentile. b. Find the cutoff for the A grade if the top 10% get an A. c. Find the percentage scoring more than 90. d. Find the score that separates the bottom 30% from the top 70%. e. Find the probability that a randomly selected student...
Suppose that scores on a test are normally distributed with a mean of 80 and a...
Suppose that scores on a test are normally distributed with a mean of 80 and a standard deviation of 8. Determine the score that would be considered the first/lower quartile (??)
A set of exam scores is normally distributed with a mean = 80 and standard deviation...
A set of exam scores is normally distributed with a mean = 80 and standard deviation = 8. Use the Empirical Rule to complete the following sentences. 68% of the scores are between  and . 95% of the scores are between  and . 99.7% of the scores are between  and . Get help: Video
The scores on a math test are normally distributed with a mean of 74 and a...
The scores on a math test are normally distributed with a mean of 74 and a standard deviation of 8. The test scores range from 0 to 100. Seven students had test scores between 82 and 98. Estimate the number of students who took the test.
Test scores on a university admissions test are normally distributed, with a mean of 500 and...
Test scores on a university admissions test are normally distributed, with a mean of 500 and a standard deviation of 100. d. 20% of test scores exceed what value? i know P(X>= c-500/100) = .20 but after this, i dont understand why c -500/100 =.84 where did this .84 come from?
Suppose that student scores on creativity test are normally distributed. The mean of the test is...
Suppose that student scores on creativity test are normally distributed. The mean of the test is 150 and the standard deviation is 23. Using a z-table (normal curve table), what percentage of students have z-scores a) below 1.63 b) above -0.41 Using a z-table, what scores would be the top and bottom raw score to find the c) middle 50% of students d) middle 10% of students Using a z-table, what is the minimum raw score a student can have...
The scores on a standardized test are normally distributed with a mean of 95 and standard...
The scores on a standardized test are normally distributed with a mean of 95 and standard deviation of 20. What test score is 0.5 standard deviations above the mean?
ADVERTISEMENT
ADVERTISEMENT
ADVERTISEMENT