Question

In: Physics

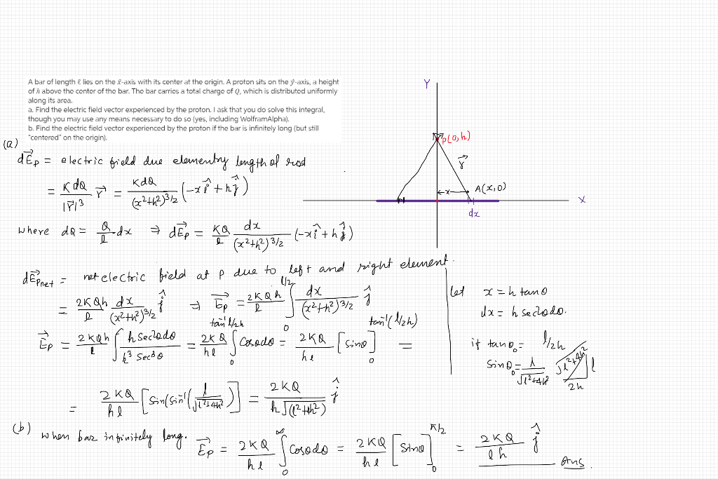
A bar of length ℓ lies on the ?̂-axis with its center at the origin. A...

A bar of length ℓ lies on the ?̂-axis with its center at the origin. A proton sits on the ?̂-axis, a height of ℎ above the center of the bar. The bar carries a total charge of ?, which is distributed uniformly along its area.

a. Find the electric field vector experienced by the proton. I ask that you do solve this integral, though you may use any means necessary to do so (yes, including WolframAlpha).

b. Find the electric field vector experienced by the proton if the bar is infinitely long (but still “centered” on the origin).

Solutions

Expert Solution


Related Solutions

A rod of length L lies on the +x−axis with its left end at the origin....
A rod of length L lies on the +x−axis with its left end at the origin. It has a nonuniform charge density λ = αx, where α is a positive constant. (a) What are the units of α and (b) Calculate the electric potential at a point A located at a distance d from the origin on the negative x−axis.
A meterstick lies along the optical axis of a convex mirror of focal length -48 cm,...
A meterstick lies along the optical axis of a convex mirror of focal length -48 cm, with its nearest end 85 cm from the mirror. How long is the image of the meterstick?
A rod of length 12 meters and charge .6  mC lies along the x-axis from (-6, 0)...
A rod of length 12 meters and charge .6  mC lies along the x-axis from (-6, 0) to (6, 0) meters.  A charge of  .9 mC is placed at (10, 0) meters.  Find the electric force on the .9 mC charge if the rod has a linear charge density given by  λ = κx4 Group of answer choices a) 104.66 N b) 88.46 N c) 97.33 N d) 124.73 N e) 115.35 N
A uniform sphere with mass 50.0 kg is held with its center at the origin, and...
A uniform sphere with mass 50.0 kg is held with its center at the origin, and a second uniform sphere with mass 90.0 kg is held with its center at the point x = 0, y = 3.00 m. A third uniform sphere with mass 0.600 kg placed at the point x = 4.00 m, y = 0. Part A: What is the magnitude of the net gravitational force due to 50.0 kg and 90.0 kg spheres on 0.600 kg...
A disk rotates about an axis through its center. Point A is located on its rim...
A disk rotates about an axis through its center. Point A is located on its rim and point B is located exactly one fourth of the way from the center toward the rim. What is the ratio of the angular velocity ?A to that of ?B, and the tangential velocity vA to that of vB? the angular velocity ?A to that of ?B the tangential velocity vA to that of vB
Acircular ring of radius ?lies in the ??plane and is centered on the origin. The half...
Acircular ring of radius ?lies in the ??plane and is centered on the origin. The half on the positive ?side is uniformly charged with a charge +?while the half on the negative ?side is uniformly charged with a total charge −?. a..Draw a diagram of the charge distribution and without doing any math, determinethe direction of the total electric field at the origin . b.Calculate the ?component of the electric field at the origin by integrating the charged ring. i.Draw...
Four masses are at the corners of a square of length ℓ = 20.0 cm and...
Four masses are at the corners of a square of length ℓ = 20.0 cm and a fifth mass is at the center of the square. The masses are m1 = 5.00 g, m2 = 3.00 g, m3 = 1.00 g, m4 = 5.00 g, and m5 = 1.50 g. a-Draw the free body diagram for fifth mass. b-Determine the net gravitational force on the fifth mass in unit vector notation.
A solid conducting sphere of radius a has its center at the origin and non uniform...
A solid conducting sphere of radius a has its center at the origin and non uniform magnetization given by: M = (a*z^2+b)zhat Estimate the vector potential and the magnetic field in the region of space outside the sphere. Calculate the amount of energy stored in the magnetic field outside the sphere. Explain how there can be an H-field associated with this sphere when there are no free currents.
A dipole lies on the y axis and consists of an electron at y1 = 0.50nm...
A dipole lies on the y axis and consists of an electron at y1 = 0.50nm and a proton at y2 = -0.50nm . Part A Find the electric field midway between the two charges. Express your answer using two significant figures. Enter your answers numerically separated by a comma. Ex,Ey =   N/C   SubmitMy AnswersGive Up Part B Find the electric field at the point x = -1.5nm , y = 0. Express your answer using two significant figures. Enter...
A potter's wheel is rotating around a vertical axis through its center at a frequency of...
A potter's wheel is rotating around a vertical axis through its center at a frequency of 1.7 rev/s. The wheel can be considered a uniform disk of mass 5.0 kg and a diameter of 0.32 m. The potter then throws a 2.8-kg chunk of clay, approximately shaped as a flat disk of radius 8.0 cm, onto the center of the rotating wheel. What is the frequency of the wheel after the clay sticks to it? Ignore friction.
ADVERTISEMENT
ADVERTISEMENT
ADVERTISEMENT