Question

In: Physics

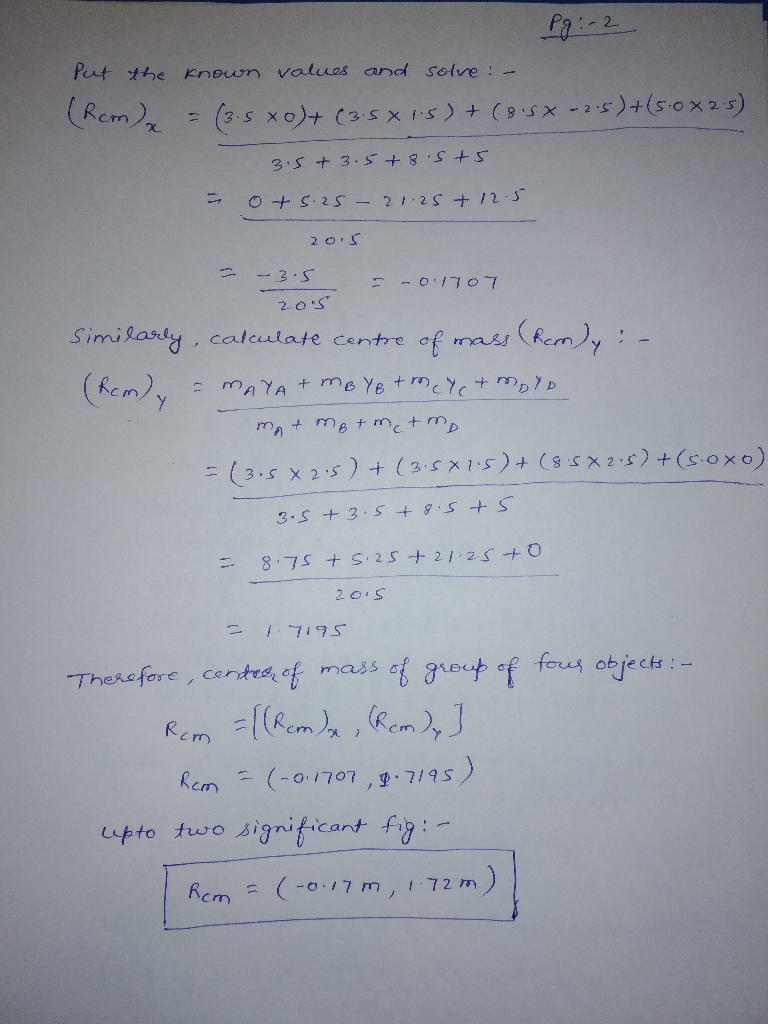
Consider an object with a mass of 3.5 kg located at R1 = (0.0 m, 2.5...

Consider an object with a mass of 3.5 kg located at R1 = (0.0 m, 2.5 m), another object with a mass of 3.5 kg located at R2 = (1.5 m, 1.5 m), and a third object with a mass of 8.5 kg located at R3 = (– 2.5 m, 2.5 m), and a fourth object with a mass of 5.0 kg located at R4 = (2.5 m, 0.0 m). Calculate the center of mass of this group of four objects. Give your answer in the form Rcm = (xcm, ycm) and with 2 significant figures.

Solutions

Expert Solution


Related Solutions

An object of mass 4.15 kg undergoes an acceleration of 3.5 m/s^2 for a period of...
An object of mass 4.15 kg undergoes an acceleration of 3.5 m/s^2 for a period of 7.0 seconds. It then undergoes an acceleration of -4.2 m/s^2 for a period of 18.0 seconds. If the initial velocity of the object is 4.01 m/s and it first experiences the acceleration when it is at the origin, plot by hand on graph paper (to scale) the force, velocity, and position graphs as functions of time. Explain why your graphs look the way they...
An object with mass 3.5 kg is attached to a spring with spring stiffness constant k...
An object with mass 3.5 kg is attached to a spring with spring stiffness constant k = 270 N/m and is executing simple harmonic motion. When the object is 0.020 m from its equilibrium position, it is moving with a speed of 0.55 m/s.(a) Calculate the amplitude of the motion._____ m(b) Calculate the maximum velocity attained by the object. [Hint: Use conservation of energy.]______ m/s
A block of mass m = 3.5 kg is on an inclined plane with a coefficient...
A block of mass m = 3.5 kg is on an inclined plane with a coefficient of friction μ1 = 0.23, at an initial height h = 0.46 m above the ground. The plane is inclined at an angle θ = 42°. The block is then compressed against a spring a distance Δx = 0.11 m from its equilibrium point (the spring has a spring constant of k1 = 39 N/m) and released. At the bottom of the inclined plane...
A 3.5-kg object is supported by an aluminum wire of length 1.8 m and diameter 2.0...
A 3.5-kg object is supported by an aluminum wire of length 1.8 m and diameter 2.0 mm . How much will the wire stretch?
A block of mass m = 2.5 kg is attached to a spring with spring constant...
A block of mass m = 2.5 kg is attached to a spring with spring constant k = 640 N/m. It is initially at rest on an inclined plane that is at an angle of θ = 27° with respect to the horizontal, and the coefficient of kinetic friction between the block and the plane is μk = 0.11. In the initial position, where the spring is compressed by a distance of d = 0.19 m, the mass is at...
Consider a thin uniform disk of mass M and radius R. A mass m is located...
Consider a thin uniform disk of mass M and radius R. A mass m is located along the axis of the disk at a distance z from the center of the disk. The gravitational force on the mass m (in terms of m, M, R, G, and z) is
A certain object has a mass m $ 100 kg and is acted on by a force
A certain object has a mass m $ 100 kg and is acted on by a force f (t) = 500[2 – e-t sin(5πt)] N. The mass is at rest at t = 0. Use MuPAD to compute the object’s velocity at t = 5 s. The equation of motion is mυ̇ = f(t).
An object with a mass of 4.15 kg undergoes an acceleration of 2.7 m/s2 for a...
An object with a mass of 4.15 kg undergoes an acceleration of 2.7 m/s2 for a period of 8.0 s. It then undergoes an acceleration of -3.2 m/s2 for a period of 20.0 s If the initial velocity of the object is 6.01 m/s and it first experiences the acceleration when it is at the origin, plot by hand on graph paper (to scale) the force, velocity, and position as functions of time. Explain why your graphs look the way...
An object with mass m = 0.6 kg is dropped from the top of the building...
An object with mass m = 0.6 kg is dropped from the top of the building and falls 21 m down in front of the cafe. 1.1 Calculate the speed of the object as it hits the ground and calculate the time for the fall. Neglect in this question the air resistance. In a more accurate calculation we need to take air resistance into account. In a wind tunnel the air resistance of the object has been measured giving rise...
An object with mass m = 0.6 kg is dropped from the top of the building...
An object with mass m = 0.6 kg is dropped from the top of the building and falls 21 m down in front of the cafe. 1.1 Calculate the speed of the object as it hits the ground and calculate the time for the fall. Neglect in this question the air resistance. In a more accurate calculation we need to take air resistance into account. In a wind tunnel the air resistance of the object has been measured giving rise...
ADVERTISEMENT
ADVERTISEMENT
ADVERTISEMENT