Question

In: Physics

1.) The speed of an electron is measured to within an uncertainty of 2.0x104 m/s. In...

1.) The speed of an electron is measured to within an uncertainty of 2.0x104 m/s. In how large a region of space is the electron likely to be found?

2.)The star nearest to Earth is Proxima Centauri, located at a distance of about 4.2 light years. (a) If one could travel there at 99% of the speed of light (0.99c), what would be the apparent distance to the star? (b) If you traveled to Proxmia Centauri at this high velocity, stayed there for 2 years, and then returned (also at 0.99c), how much time would have passed on Earth?

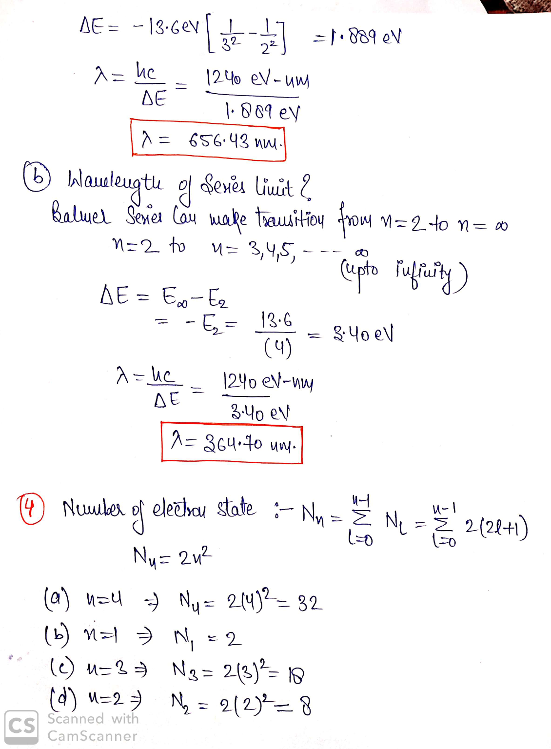
3.) (a) What is the wavelength of light for the least energetic photon emitted in the Balmer series of the hydrogen atom spectrum lines? (b) What is the wavelength of the series limit?

4.) How many electron states are there in the following shells: (a) n = 4, (b) n = 1, (c) n = 3, (d) n = 2?

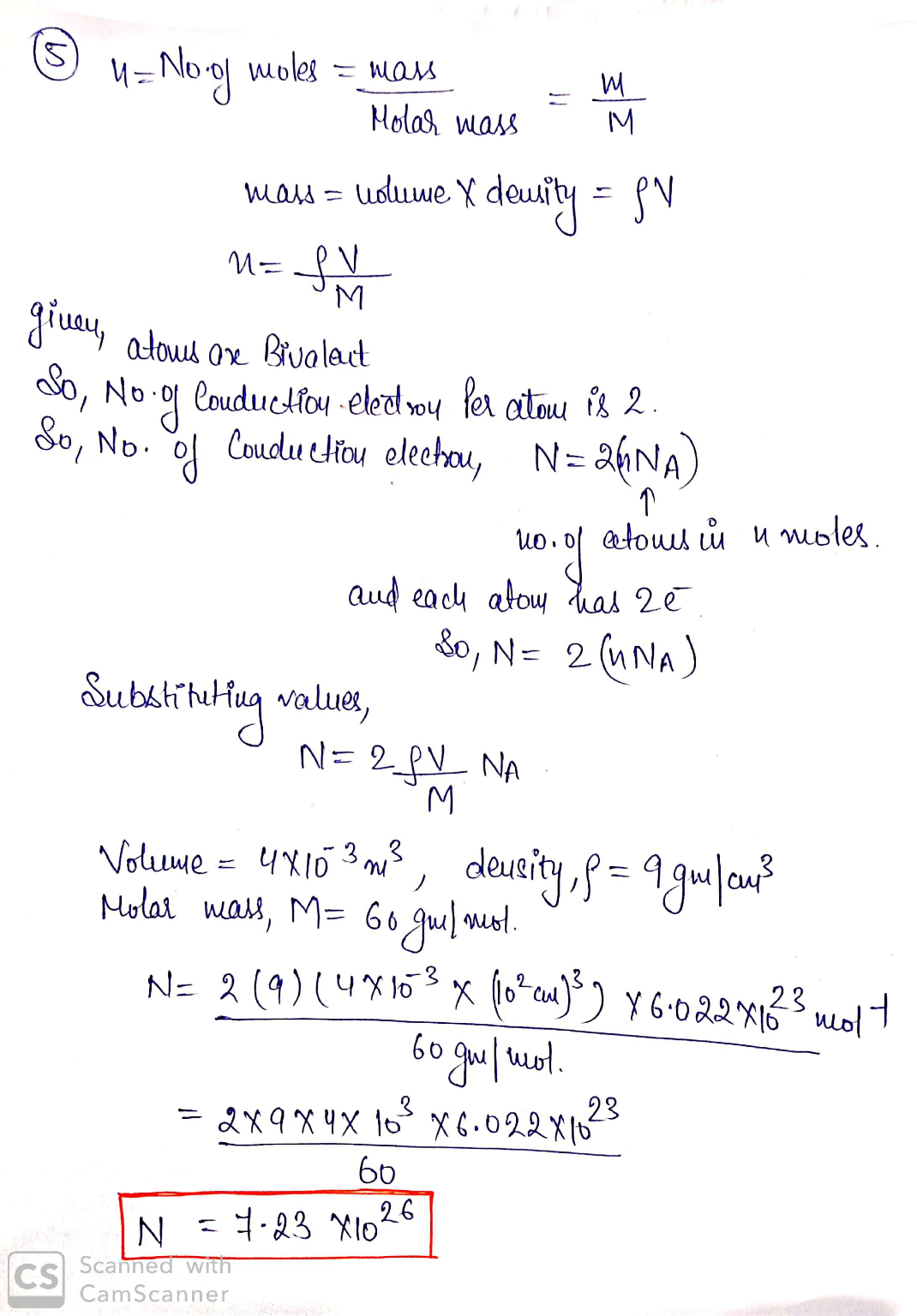
5.) A sample of a certain metal has a volume of 4.0E-3 m3. The metal has a density of 9.0 g/cm3 and a molar mass of 60 g/mol. The atoms are bivalent. How many conduction electrons (or valance electrons) are in the sample?

Solutions

Expert Solution


Related Solutions

The speed of an electron is measured to be between 4.3x10^6 m/s and 4.5x10^6 m/s. What...
The speed of an electron is measured to be between 4.3x10^6 m/s and 4.5x10^6 m/s. What is the fractional uncertainty of its speed relative to the lower limit? What is the smallest possible uncertainity in its position? Explain everything in detail.
Calculate the speed (in m/s) of an electron and a proton with a kinetic energy of...
Calculate the speed (in m/s) of an electron and a proton with a kinetic energy of 1.70 electron volt (eV). (The electron and proton masses are me = 9.11 ✕ 10−31 kg and mp = 1.67 ✕ 10−27 kg. Boltzmann's constant is kB = 1.38 ✕ 10−23 J/K.) (a) an electron m/s (b) a proton m/s (c) Calculate the average translational kinetic energy in eV of a 3.15 ✕ 102 K ideal gas particle. (Recall from Topic 10 that 1...
The x coordinate of an electron is measured with an uncertainty of 0.200 mmmm . What...
The x coordinate of an electron is measured with an uncertainty of 0.200 mmmm . What is vxvxv_x, the x component of the electron's velocity, if the minimum percentage uncertainty in a simultaneous measurement of vxvxv_x is 1.00 %% ? Use the following expression for the uncertainty principle: ΔxΔpx≥ℏΔxΔpx≥ℏ, where ΔxΔx is the uncertainty in the x coordinate of a particle, ΔpxΔpx is the particle's uncertainty in the x component of momentum, and ℏ=h2πℏ=h2π, where hh is Planck's constant. Express...
Use the Heisenberg uncertainty principle to calculate Δx for an electron with Δv = 0.380 m/s....
Use the Heisenberg uncertainty principle to calculate Δx for an electron with Δv = 0.380 m/s. By what factor is the uncertainty of the (above) electron's position larger than the diameter of the hydrogen atom? (Assume the diameter of the hydrogen atom is 1.00×10-8 cm.) Use the Heisenberg uncertainty principle to calculate Δx for a ball (mass = 108 g, diameter = 7.90 cm) with Δv = 0.380 m/s. The uncertainty of the (above) ball's position is equal to what...
an electron is moving with a speed of 2.9E5 m/s when it moves in the positive...
an electron is moving with a speed of 2.9E5 m/s when it moves in the positive x direction, it feels no force. When it moves in the positive y direction it experiences a force of 3.3E-14N that points in the negative z direction. What is the magnitude and direction of the magnetic field?
An electron at point A in the figure has a speed of 1.42×10^6 m/s.
An electron at point A in the figure has a speed of 1.42×10∧6 m/s. (a) Find the direction of the magnetic field that will cause the electron to follow the semicircular path from A to B. (b) Find the magnitude of the magnetic field that will cause the electron to follow the semicircular path from A to B. (c) Find the time required for the electron to move from A to B. (d) Find the direction of the magnetic field, that...
An electron with an initial speed of 1.75x10^6 m/s is brought to rest by an electric...
An electron with an initial speed of 1.75x10^6 m/s is brought to rest by an electric field. a) did the electron move into a region of higher potential or lower potential? b) what was the potential difference that stopped the electron (in Volts)? Please show all work!
An electron with an initial speed of 5.05x10^5 m/s is brought to rest by an electric...
An electron with an initial speed of 5.05x10^5 m/s is brought to rest by an electric field. The charge of an electron is -1.60x10^-19C and its mass is 9.11x 10^-31 kg. a) did the electron move into a region of higher electric potential or lower electric potential? Explain b) What was the electric potential difference that stopped the electron?
An electron and a 140-g baseball are each traveling 120 m/s measured to a precision of...
An electron and a 140-g baseball are each traveling 120 m/s measured to a precision of 0.075 % . Part A: Calculate the uncertainty in position of the electron. Part B: Calculate the uncertainty in position of the baseball. Part C: Compare the uncertainty in position of each.
An electron with a speed of 3.5 x 107 m/s travels upwards into a 3.0 T...
An electron with a speed of 3.5 x 107 m/s travels upwards into a 3.0 T magnetic field directed into the page. After the particle is deflect it enters a circular path. What direction is the particle deflected? What is the radius of the circular path the electron travels through? Include a diagram. A 20.0 m long wire is carrying a 150.0 mA current parallel to a second wire that is extremely long which carries a current of 250.0 mA...
ADVERTISEMENT
ADVERTISEMENT
ADVERTISEMENT