Question

In: Advanced Math

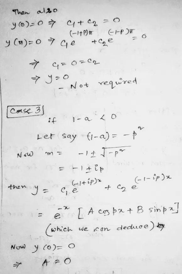
For which real values of a do there exist solutions of the differential equation y'' +...

For which real values of a do there exist solutions of the differential equation

y'' + 2y' + ay = 0

which satisfy the conditions y(0) = y(π) = 0 but which are not identically zero? For each such a give an appropriate non-zero solution

Solutions

Expert Solution


Related Solutions

consider the autonomous diffeerential equation y'=(y-4)(y+2) 1) what are the constant solutions of this differential equation?...
consider the autonomous diffeerential equation y'=(y-4)(y+2) 1) what are the constant solutions of this differential equation? 2) Let g(y)=(y-4)(y+2) sketch this curve with y on the horizontal axis 3) for which of the following inital conditions. is the solution curve incrreasing y(0)=-3, y(0)=2, y(0)=5 4) Plot the solution curves corresponding to the intial conditions in part c. in the ty plane 5) classify each of the constant solutions you found as stable, unstable, or semi
Determine the solutions for y = y(x) for the differential  equation cos x − x sin x...
Determine the solutions for y = y(x) for the differential  equation cos x − x sin x + y 2 + 2 x y dy/dx= 0.
How do we find singular solutions for a first order Differential Equation?
How do we find singular solutions for a first order Differential Equation?
Solve differential equation: y'+y=sin(x)
Solve differential equation: y'+y=sin(x)
Solve the Differential equation y'' - 2y' + y = ex
Solve the Differential equation y'' - 2y' + y = ex
What are the Aspects, Application, and Solutions for a Stochastic Differential Equation?
What are the Aspects, Application, and Solutions for a Stochastic Differential Equation?
y'=√2x+y+1 general solution of differential equation
y'=√2x+y+1 general solution of differential equation
find the differential equation of dy/dx = y+y^3
find the differential equation of dy/dx = y+y^3
Series Solutions of Ordinary Differential Equations For the following problems solve the given differential equation by...
Series Solutions of Ordinary Differential Equations For the following problems solve the given differential equation by means of a power series about the given point x0. Find the recurrence relation; also find the first four terms in each of two linearly independent solutions (unless the series terminates sooner). If possible, find the general term in each solution. (1-x)y"+xy-y=0, x0=0
Series Solutions of Ordinary Differential Equations For the following problems solve the given differential equation by...
Series Solutions of Ordinary Differential Equations For the following problems solve the given differential equation by means of a power series about the given point x0. Find the recurrence relation; also find the first four terms in each of two linearly independent solutions (unless the series terminates sooner). If possible, find the general term in each solution. (4-x2)y"+2y=0, x0
ADVERTISEMENT
ADVERTISEMENT
ADVERTISEMENT