Question

In: Advanced Math

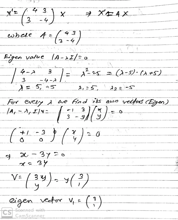
Find the special fundamental matrix for the following system such that Φ(0) = I. x' =...

Find the special fundamental matrix for the following system such that Φ(0) = I.

x' = row 1 ( 4 3 )

row 2 ( 3 -4 ) * x

Solutions

Expert Solution


Please like if u helps you ?


Related Solutions

Find a matrix P that diagonalizes the matrix A = [ 2 0 ?2 / 0...
Find a matrix P that diagonalizes the matrix A = [ 2 0 ?2 / 0 3 0 / 0 0 3 ] and compute P ?1AP.
In python find matrix M I have the matrix X X=[5.8 3.0 3.7 1.9] and need...
In python find matrix M I have the matrix X X=[5.8 3.0 3.7 1.9] and need to create a matrix M that is 4x150 that has the the values of matrix X inside it for every row M= 5.8 3.0 3.7 1.9 5.8 3.0 3.7 1.9 5.8 3.0 3.7 1.9 5.8 3.0 3.7 1.9 5.8 3.0 3.7 ect 5.8 ect ect 5.8 ect 5.8
Given a scalar fifield φ(x, y, z)=3x2-yz and a vector field F(x, y, z)=3xyz2+2xy3j-x2yzk. Find: (i)F.∇φ....
Given a scalar fifield φ(x, y, z)=3x2-yz and a vector field F(x, y, z)=3xyz2+2xy3j-x2yzk. Find: (i)F.∇φ. (ii)F×∇φ. (iii)∇(∇.F).
find the eigenvalues of x"+(lambda)(x) = 0, x(0)=x'(pi)=0
1a.) find the eigenvalues of x"+(lambda)(x) = 0, x(0)=x'(pi)=0 1b.) Solve ut=((c)^2)u(xx) , u(0,x)= alpha * sin x, with the boundary condition u(t,0)=u(t,pi)=0 1c.) Solve ut = u(xx), u(0,x) = alpha * sin ((pi*x)/(L)), with the boundary condition u(t,0) = u(t,L) = 0.
(a) Find a 3×3 matrix A such that 0 is the only eigenvalue of A, and...
(a) Find a 3×3 matrix A such that 0 is the only eigenvalue of A, and the space of eigenvectors of 0 has dimension 1. (Hint: upper triangular matrices are your friend!) (b) Find the general solution to x' = Ax. PLEASE SHOW YOUR WORK CLEARLY.
for the system equation of x' = Ax   if Coefficients Matrix A be ? = [...
for the system equation of x' = Ax   if Coefficients Matrix A be ? = [ 5 −5 −5 −1 4 2 3 −5 −3 ] , find the basic matrix
3.Consider the system x*=4x-y, y*=2x+y (a) Write the system in matrix form  and find the eigenvalues and...
3.Consider the system x*=4x-y, y*=2x+y (a) Write the system in matrix form  and find the eigenvalues and eigenvectors of the matrix A. (b) Classify the fixed point at the origin (c) Find the  general solution of the system (d) Solve the system subject to the initial condition
Consider the boundary value problem X ′′ +λX=0 , X ′ (0)=0 , X′(π)=0 . Find...
Consider the boundary value problem X ′′ +λX=0 , X ′ (0)=0 , X′(π)=0 . Find all real values of λ for which there is a non-trivial solution of the problem and find the corresponding solution.
Find Laplace transform of 50x''+ 100x' + 60x = 0, x'(0)=0, x(0)=0
Find Laplace transform of 50x''+ 100x' + 60x = 0, x'(0)=0, x(0)=0
Consider a system of N particles in an infinite square well fro, x=0 to x=N*a. find...
Consider a system of N particles in an infinite square well fro, x=0 to x=N*a. find the ground state wave function and ground state energy for A. fermions. B. bosons.
ADVERTISEMENT
ADVERTISEMENT
ADVERTISEMENT