Question

In: Mechanical Engineering

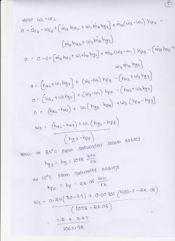
Outside air at 10 degC, 1 bar and 40% relative humidity enters an air conditioner operating...

Outside air at 10 degC, 1 bar and 40% relative humidity enters an air conditioner operating at steady state with a mass flow rate of 1.5kg/s. The air is first heated at essentially constant pressure to 30 degC. Liquid water at 15 degC is then injected, bringing the air to 25 degC, 1bar.

Determine

(a) the rate of heat transfer to the air passing through the heating section, in kJ/s.

(b) the rate of water is injected, in kg/s.

(c) the relative humidity at the exit of the humidification section.

Kinetic and potential energy can be ignored.

Problem 12.87 Text book: Principle of Engineering Thermodynamics, SI Version, 7th Edition Authors: Moran, Shapiro, Boettner and Bailey

Solutions

Expert Solution


Related Solutions

Air enters a window air conditioner at 1 atm, 36oC and 75% relative humidity (??) at...
Air enters a window air conditioner at 1 atm, 36oC and 75% relative humidity (??) at a rate of 12m3/min and it leaves as saturated air at 18oC. Part of the moisture in the air which condenses during the process is also removed at 18oC. Determine (a) the rate of heat (Q?) and (b) moisture removal from the air. (c) What-if Scenario: What would the rate of heat removal be if moist air entered the dehumidifier at 95 kPa instead...
Moist air enters a conditioner operating at steady state at 40oC and 60% relative humidity constant...
Moist air enters a conditioner operating at steady state at 40oC and 60% relative humidity constant pressure process at 1 atm from to. The air is first passed over cooling coils and moisture is removed and then is passed over heating coils to achieve the final state of 18oC dry bulb and 10oC wet bulb. (a) Sketch the process on the psychometric chart and determine (b) the dew point temperature of the mixture at the inlet of the cooling coils...
Air at 28 °C, 1 bar, 50% relative humidity enters an insulated chamber operating at steady...
Air at 28 °C, 1 bar, 50% relative humidity enters an insulated chamber operating at steady state with a mass flow rate of 5 kg/min and mixes with a saturated moist air stream entering at 4 °C, 1 bar with a mass flow rate of 8 kg/min. A single mixed stream exits at 1 bar. Determine (a) the relative humidity and temperature, in °C, of the exiting stream.
Air at T1 = 32°C, p1 = 1 bar, 50% relative humidity enters an insulated chamber...
Air at T1 = 32°C, p1 = 1 bar, 50% relative humidity enters an insulated chamber operating at steady state with a mass flow rate of 3 kg/min and mixes with a saturated moist air stream entering at T2 = 7°C, p2 = 1 bar. A single mixed stream exits at T3 = 17°C, p3 = 1 bar. Neglect kinetic and potential energy effects A) Determine mass flow rate of the moist air entering at state 2, in kg/min. (Answer...
At atmospheric pressure, moist air at T1 = 35°C and 40% relative humidity enters a heat...
At atmospheric pressure, moist air at T1 = 35°C and 40% relative humidity enters a heat exchanger operating at steady state and is cooled at constant pressure to 24°C with a m with dot on top of 11 kg/min. Ignoring kinetic and potential energy effects, determine: (a) Properties at state 1: (10 points) Mixture enthalpy, Humidity ratio (b) Properties at state 2: (15 points) Mixture enthalpy, relative humidity, humidity ratio (c) the dew point temperature at the inlet, in °C...
Moist air at 30 °C and 50% relative humidity enters a dehumidifier operating at steady state...
Moist air at 30 °C and 50% relative humidity enters a dehumidifier operating at steady state with a mass flow rate of 319.35 kg/min. The moist air passes over a cooling coil and water vapor condenses. Condensate (condensed water) exits at 10 °C. Saturated moist air exits in a separate stream at the same temperature. The pressure remains constant at 1 bar. Determine (a) the rate at which water is condensed, in kg/min, and (b) the heat transfer rate during...
Air enters an air conditioning unit at 32oC, 80% relative humidity, and with a mass flowrate...
Air enters an air conditioning unit at 32oC, 80% relative humidity, and with a mass flowrate of 12 kg/min. It is to be conditioned to 25oC and 50% relative humidity. In order to do this, part of the moisture in the air must be removed as condensate at 30oC. Be able to draw the path that the atmospheric air takes on the psychrometric chart. Find a. The rate of moisture removal from the air, mw  b. The rate of...
Moist air enters an adiabatic humidifier system at 1 atm, 15 °C, with a relative humidity...
Moist air enters an adiabatic humidifier system at 1 atm, 15 °C, with a relative humidity of 20%. The volumetric flow rate of the incoming moist air is 150 m3/min. Saturated water vapor at 1 atm is injected into the flow such that the outlet temperature is 30 °C and the outlet relative humidity is 40%. The pressure is constant in the humidifier system. Determine the mass flow rate of the saturated water vapor entering the humidifier at state 3,...
Air enters a turbine operating at steady state at 10 bar, 1200 K and expands to...
Air enters a turbine operating at steady state at 10 bar, 1200 K and expands to 0.8 bar. The turbine is well insulated, and kinetic and potential energy effects can be neglected. Assuming ideal gas behavior for the air, what is the maximum theoretical work that could be developed by the turbine in kJ per kg of air flow?
Refrigerant 134a enters an air conditioner compressor at 4 bar, 20°C, and is compressed at steady...
Refrigerant 134a enters an air conditioner compressor at 4 bar, 20°C, and is compressed at steady state to 12 bar, 80°C. The volumetric flow rate of the refrigerant entering is 7.5 m3/min. The work input to the compressor is 112.5 kJ per kg of refrigerant flowing. Neglecting kinetic and potential energy effects, determine the magnitude of the heat transfer rate from the compressor, in kW.
ADVERTISEMENT
ADVERTISEMENT
ADVERTISEMENT