Question

In: Math

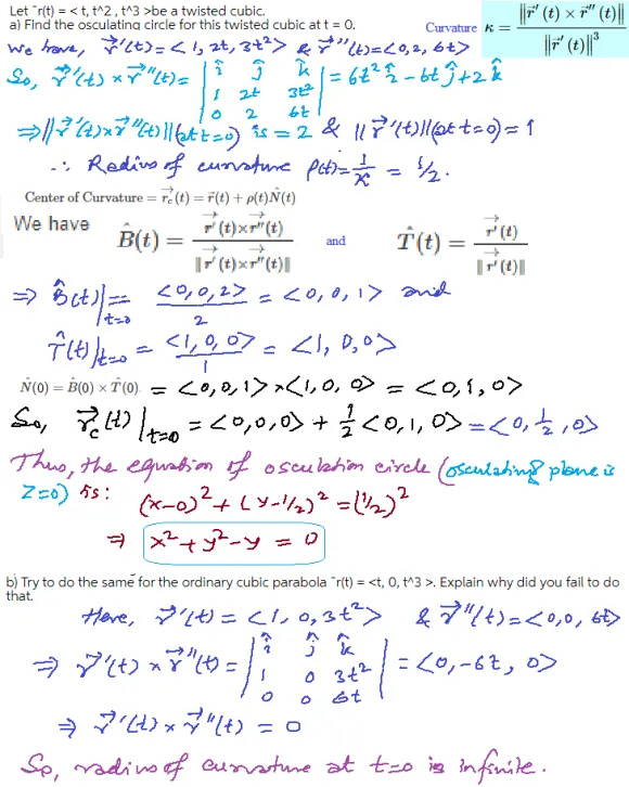
Let ¯r(t) = < t, t^2 , t^3 >be a twisted cubic. a) Find the osculating...

Let ¯r(t) = < t, t^2 , t^3 >be a twisted cubic.

a) Find the osculating circle for this twisted cubic at t = 0.

b) Try to do the same for the ordinary cubic parabola ¯r(t) = <t, 0, t^3 >. Explain why did you fail to do that.

Solutions

Expert Solution


Related Solutions

4. Let r(?) = �?, 4 3 ? 3/2, ?2 �. (a) Find T, N, and...
4. Let r(?) = �?, 4 3 ? 3/2, ?2 �. (a) Find T, N, and B at the point corresponding to ? = 1. (b) Find the equation of the osculating plane at the point corresponding to ? = 1. (c) Find the equation of the normal plane at the point corresponding to ? = 1
Let T: R^2 -> R^2 be an orthogonal transformation and let A is an element of...
Let T: R^2 -> R^2 be an orthogonal transformation and let A is an element of R^(2x2) be the standard matrix of T. In a) and b) below, by rotation we mean "rotation of R^2 by some angle and the origin". By reflection, we mean "reflection of R^2 over some line through the origin". a) Show that T is either a rotation or a reflection. b) Show that every rotation is a composition of 2 reflections, and thus that T...
2. Consider the plane curve r(t) = <2cos(t),3sin(t)>. Parameterize the osculating circle at t=0. Sketch both...
2. Consider the plane curve r(t) = <2cos(t),3sin(t)>. Parameterize the osculating circle at t=0. Sketch both the curve and the osculating circle
Find T(t), N(t), and B(t) for r(t) = t^2 i + (2/3)t^3 j + t k...
Find T(t), N(t), and B(t) for r(t) = t^2 i + (2/3)t^3 j + t k at the point P ( 1, (2/3) , 1)
Let X = {1, 2, 3}. Find all topologies T on X such that (X, T...
Let X = {1, 2, 3}. Find all topologies T on X such that (X, T ) is regular.
Find the vectors T, N, and B at the given point. r(t) = < t2, (2/3)...
Find the vectors T, N, and B at the given point. r(t) = < t2, (2/3) (t3), t > , < 4, -16/3, -2>
Find the equation of the osculating circle at the local minimum of 3x^3 -7x^2 +(11/3)x+4
Find the equation of the osculating circle at the local minimum of 3x^3 -7x^2 +(11/3)x+4
3. Body-Centered Cubic (let r = 1.00A    Show all work A) calculation of the length of...
3. Body-Centered Cubic (let r = 1.00A    Show all work A) calculation of the length of the until cell edge(a): B) calculation of the length of the face diagonal (F): C) Calculation of the % void space:
Let g(t) = 5t − 3 ln(t 2 ) − 4(t − 2)2 , 0.1 ≤...
Let g(t) = 5t − 3 ln(t 2 ) − 4(t − 2)2 , 0.1 ≤ t ≤ 3. a. Find the absolute maximum and minimum of g(t). b. On what intervals is g(t) concave up? Concave down?
Find the curvature of the parametrized curve ~r(t) =< 2t 2 , 4 + t, −t...
Find the curvature of the parametrized curve ~r(t) =< 2t 2 , 4 + t, −t 2 >.
ADVERTISEMENT
ADVERTISEMENT
ADVERTISEMENT