Question

In: Statistics and Probability

Suppose it is known that 30% of U.S. citizens believe that there need to be stricter...

Suppose it is known that 30% of U.S. citizens believe that there need to be stricter gun laws. A simple random sample of 140 U.S. citizens is drawn.

1)Determine whether the following statement is true or false.

The number of people in the sample who believe that there need to be stricter gun laws is a binomial variable.

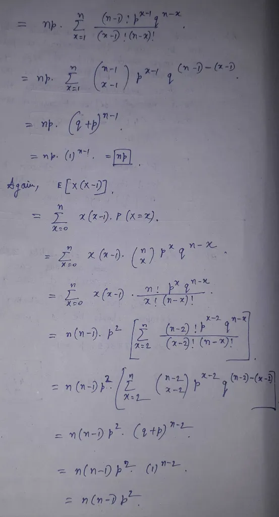
2)Find the mean number of people in samples of size 140 who believe that there need to be stricter gun laws.

3)Find the standard deviation of the number of people in samples of size 140 who believe that there need to be stricter gun laws. (Round your answer to two decimal places.)

Solutions

Expert Solution

TOPIC:Binomial distribution.


Related Solutions

The proportion of U.S. of citizens lacking healthcare insurance is known to be 25%. A healthcare...
The proportion of U.S. of citizens lacking healthcare insurance is known to be 25%. A healthcare economist suspects the rate of uninsured in Louisiana is higher than the national average. A survey was conducted of 200 Louisiana residents who were asked if they had healthcare insurance. Seventy-two responded that they did not have healthcare insurance. Based on the results of the survey, construct a 95% CI for p, the population proportion of Louisiana residents who do not have healthcare insurance....
The basic premise of the U.S. income tax system is that U.S. citizens, resident aliens and...
The basic premise of the U.S. income tax system is that U.S. citizens, resident aliens and corporations are subject to tax on worldwide income regardless of the country from which the income derives. The Tax Cuts and Jobs Act of 2017 essentially moved the U.S. towards a hybrid “Worldwide Tax System” to a “Territorial Basis Tax System.” Briefly explain the “old system” and then describe some of the most salient provisions which characterize a “Territorial System.” Provide explanations, analysis and...
Suppose it is commonly known that 30% of Americans currently own a high definition television. If...
Suppose it is commonly known that 30% of Americans currently own a high definition television. If we select 15 Americans at random, what is the probability that no more than 4 of them own a high definition television? a. 0.203 b. 0.296 c. 0.133 d. 0. 515
What benefits does Hamilton believe that individual citizens of the United States will accrue as a...
What benefits does Hamilton believe that individual citizens of the United States will accrue as a result of the establishment of such credit? What examples does he give?
In a random sample of 440 U.S. adults, 76% said that they believe that the U.S....
In a random sample of 440 U.S. adults, 76% said that they believe that the U.S. Congress fails to pass laws that benefit the lives of all Americans. Use these sample statistics to construct a 90% confidence interval for the proportion of all U.S. adults who believe that the U.S. Congress fails to pass laws that benefit the lives of all Americans. Give your answers as decimals, rounded to three decimal places. < p <
Should the U.S. government be responsible for providing all citizens with computers and access to the...
Should the U.S. government be responsible for providing all citizens with computers and access to the Internet? Or is gaining Internet access an individual responsibility?
Should the U.S. government be responsible for providing all citizens with computers and access to the...
Should the U.S. government be responsible for providing all citizens with computers and access to the Internet? Or is gaining Internet access an individual responsibility?
3) A British firm has a subsidiary in the U.S., and a U.S. firm, known to...
3) A British firm has a subsidiary in the U.S., and a U.S. firm, known to the British firm, has a subsidiary in Britain. Define and then provide an example for each of the following management techniques for reducing the firm's operating cash flows. The following are techniques to consider: a)   matching currency cash flows b)   risk-sharing agreements         c)   back-to-back or parallel loans
What responsibilities do you believe people have as citizens in our global economy?
What responsibilities do you believe people have as citizens in our global economy?
Many Americans do not believe that the federal bureaucracy serves the public interest. These dissatisfied citizens...
Many Americans do not believe that the federal bureaucracy serves the public interest. These dissatisfied citizens have supported a range of reforms including terminating agencies, devolving responsibility to lower levels of government, and privatization. Are such reforms likely to make the bureaucracy more responsive to public wishes? Who benefits from these reforms and who loses? Explain.
ADVERTISEMENT
ADVERTISEMENT
ADVERTISEMENT