Question

In: Math

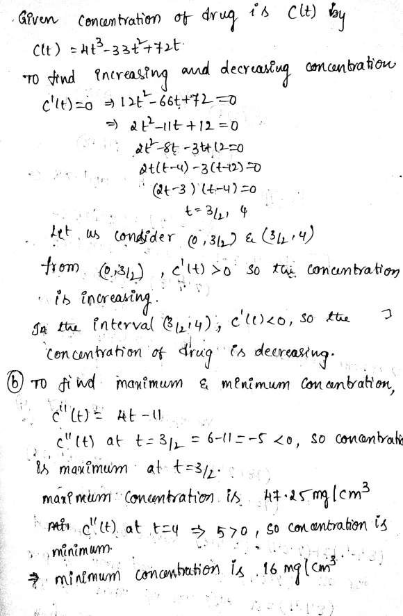
The còncentration of a drug in a patient's bloodstream is C(t) = 4t³ – 33t² +72t,...

The còncentration of a drug in a patient's bloodstream is C(t) = 4t³ – 33t² +72t, where C is in milligrams per cubic centimeter and t is the number of hours after the drug is taken. a. When is the concentration increasing and decreasing in the bloodstream of the patient after the drug is taken? b. Find the maximum and minimum concentrations of drug in the patient's bloodstream after the drug is taken

Solutions

Expert Solution


Related Solutions

Suppose that C is the concentration of a drug in the bloodstream t hours after the...
Suppose that C is the concentration of a drug in the bloodstream t hours after the initial dose is administered. Suppose the initial dose Co was 191.8 µg / mL and suppose that 189 µg / mL is administered every hour. If the body metabolizes and eliminates 35% of the concentration of drug C; in a period of one hour; determine C2, the concentration of the drug in the bloodstream two hours after the initial dose is administered.
Suppose Ct is the concentration of a drug in the bloodstream t hours after the initial...
Suppose Ct is the concentration of a drug in the bloodstream t hours after the initial dose is administered. Suppose the initial dose C2was 217.6 ug/mL and suppose that every hour is administered 174 g/mL. If the body metabolizes and eliminates 54% of the concentration of the drug Ct over a period of one hour; determine C2, the concentration of the drug in the bloodstream two hours after the initial dose is administered. Response at two decimal valors.
If u(t) = < sin(8t), cos(4t), t > and v(t) = < t, cos(4t), sin(8t) >,...
If u(t) = < sin(8t), cos(4t), t > and v(t) = < t, cos(4t), sin(8t) >, use the formula below to find the given derivative. d/(dt)[u(t)* v(t)] = u'(t)* v(t) + u(t)*  v'(t) d/(dt)[u(t) x v(t)] = <.______ , _________ , _______>
let α ∈ C be a zero of the polynomial t^3 − 4t + 2 =...
let α ∈ C be a zero of the polynomial t^3 − 4t + 2 = 0 and let R = {a1 + bα + cα^2 : a,b,c ∈ Z}. Show that R is a integral domain and Show that α − 1 and 2α − 1 are units in R. [Hint: what if x = t + 1?
A drug response curve describes the level of medication in the bloodstream after a drug is...
A drug response curve describes the level of medication in the bloodstream after a drug is administered. A surge function S(t) = Atpe−kt (where t > 0) is often used to model the response curve, reflecting an initial surge in the drug level and then a more gradual decline. If, for a particular drug, A = 0.03, p = 4, k = 0.06, and t is measured in minutes, estimate the times t corresponding to the inflection points. (Round your...
Multiplication by Powers of t 1. f(t) = 4t sin 2t 2. f(t) = 4t^3 sint...
Multiplication by Powers of t 1. f(t) = 4t sin 2t 2. f(t) = 4t^3 sint t 3. f(t) = t^3 cos t
A curve c is defined by the parametric equations x= t^2 y= t^3-4t a) The curve...
A curve c is defined by the parametric equations x= t^2 y= t^3-4t a) The curve C has 2 tangent lines at the point (6,0). Find their equations. b) Find the points on C where the tangent line is vertical and where it is horizontal.
The position of an object is given by s(t)=2cos(4t−8)−7sin(t−2)s(t)=2cos⁡(4t−8)−7sin⁡(t−2) . Note that a negative position here...
The position of an object is given by s(t)=2cos(4t−8)−7sin(t−2)s(t)=2cos⁡(4t−8)−7sin⁡(t−2) . Note that a negative position here simply means that the position is to the left of the “zero position” and is perfectly acceptable. Answer each of the following questions. Compute (accurate to at least 8 decimal places) the average velocity of the object between t=2t=2 and the following values of tt. Make sure your calculator is set to radians for the computations (i) 2.5 (ii) 2.1 (iii)2.01 (iv)2.001 (v) 2.0001...
Calculate k(t) when r(t) = <4t^-1,-6,6t> Thank you!
Calculate k(t) when r(t) = <4t^-1,-6,6t> Thank you!
Suppose P(t) t(3cubed)– 4t + 4 represents the position of a moving particle after t seconds....
Suppose P(t) t(3cubed)– 4t + 4 represents the position of a moving particle after t seconds. a. At what time(s) does the particle change directions? b. When is the speed of the particle decreasing? c. What is the distance traveled by the particle for tE[1, 3]?
ADVERTISEMENT
ADVERTISEMENT
ADVERTISEMENT