Question

In: Chemistry

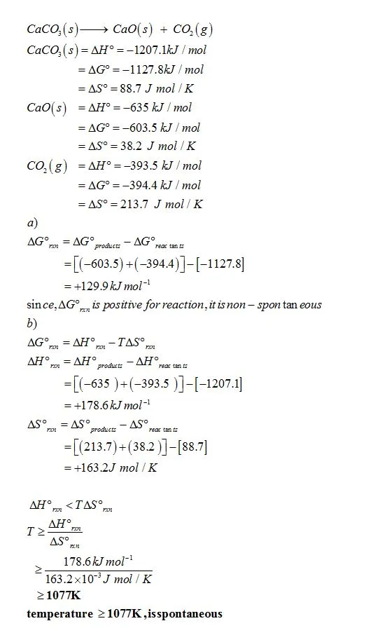
a) Is the following reaction spontaneous at standard reaction conditions? b) At what temperature (oC) does...

a) Is the following reaction spontaneous at standard reaction conditions?

b) At what temperature (oC) does the reaction become spontaneous?

CaCO3(s) --> CaO(s) + CO2(g)

Solutions

Expert Solution


Related Solutions

At what temperature does the following reaction become spontaneous? You may assum that the delta H0...
At what temperature does the following reaction become spontaneous? You may assum that the delta H0 and delta S0 are temperature independent. 2NO(g) + 2H2(g) ---> N2(g) + 2H2O(g)
What is the condition for a reaction to be spontaneous? If a reaction is spontaneous at...
What is the condition for a reaction to be spontaneous? If a reaction is spontaneous at one temperature is it spontaneous under all conditions? [10 marks] ii) Given the following information ?fH°(CH3OH(g)) = -201.0 kJ mol-1 / S°(CH3OH(g)) = 239.70 J mol-1 K-1 ?fH°(CH2O(g)) = -108.6 kJ mol-1 / S°(CH2O(g)) = 218.95 J mol-1 K-1 ?fH°(H2(g)) = 0 / S°(H2(g)) = 130.70 J mol-1 K-1 determine ?rH°, ?rS° and ?rG° for the formation of formaldehyde from the dehydrogenation of methanol...
What is the lowest temperature at which the following reaction is spontaneous? H2O(g) + C(graphite) ---->...
What is the lowest temperature at which the following reaction is spontaneous? H2O(g) + C(graphite) ----> H2(g) + CO(g)
The following reaction is spontaneous as written when the components are in their standard states: 3...
The following reaction is spontaneous as written when the components are in their standard states: 3 Zn(s) +2 Cr3+(aq) ?3 Zn2+(aq) +2 Cr(s) Part A If the [Zn2+] is 5 molL?1, determine the value of [Cr3+] below which the reaction will be spontaneous in the opposite direction.
Wittig Reaction: Under what conditions does the Wittig reaction favor the cis isomer?  Under what conditions does...
Wittig Reaction: Under what conditions does the Wittig reaction favor the cis isomer?  Under what conditions does the Wittig reaction favor the trans isomer? _____________________________________________________________
Calculate E∘ for each of the following reactions, and tell which are spontaneous under standard-state conditions....
Calculate E∘ for each of the following reactions, and tell which are spontaneous under standard-state conditions. Part A 2Fe2+(aq)+Pb2+(aq)→2Fe3+(aq)+Pb(s) Express your answer using two decimal places. E∘ = V SubmitMy AnswersGive Up Part B Mg(s)+Ni2+(aq)→Mg2+(aq)+Ni(s) Express your answer using two decimal places. E∘ = V SubmitMy AnswersGive Up Part C Tell which are spontaneous under standard-state conditions. Check all that apply. Check all that apply. 2Fe2+(aq)+Pb2+(aq)→2Fe3+(aq)+Pb(s) Mg(s)+Ni2+(aq)→Mg2+(aq)+Ni(s)
10. Determine the direction in which the spontaneous reaction occurs from the following standard reduction potentials....
10. Determine the direction in which the spontaneous reaction occurs from the following standard reduction potentials. Indicate the reaction that is occurring at the anode, the cathode, the cell potential and the net ionic reaction. Sn^4+ (ac) + 2e ----> Sn^2+ (ac)   E = 0.15V Fe^3+ (ac) + 1e ----> Fe^2+ (ac) E = 0.77V
Estimate the temperature knowing the following reaction is spontaneous: CH₄(g) + N₂(g) → HCN(g) + NH₃(g)...
Estimate the temperature knowing the following reaction is spontaneous: CH₄(g) + N₂(g) → HCN(g) + NH₃(g)   ΔH° = +163.8kJ, ΔS° = +16.1 J/K
Calculate the membrane potential of a neuron at standard temperature under each of the following conditions:...
Calculate the membrane potential of a neuron at standard temperature under each of the following conditions: a. The concentration of sodium, potassium and chloride is the same on both the inside and the outside of the membrane. b. The concentration of ions inside and outside the cell are as given below, but the relative permeability is the same for the three ions. c. The concentration of ions inside and outside the cell are as given below, but the relative permeability...
The criterion for a spontaneous chemical reaction is: a) ΔrG < 0 b) ΔrS = 0...
The criterion for a spontaneous chemical reaction is: a) ΔrG < 0 b) ΔrS = 0 c) ΔrH > 0 d) ΔrG = 0
ADVERTISEMENT
ADVERTISEMENT
ADVERTISEMENT