Question

In: Statistics and Probability

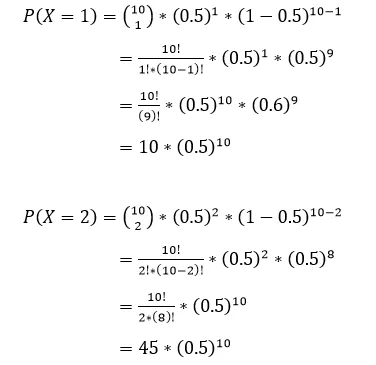
1st Case: What is the probability of getting 3 heads when 10 coins are tossed? 2nd...

1st Case: What is the probability of getting 3 heads when 10 coins are tossed? 2nd Case:What is the probability of getting 3 or less heads when 10 coins are tossed? 3rd Case: What is the probability of getting 3 or less heads when 10 coins are tossed?

Don't use Excel

Solutions

Expert Solution

thank you.


Related Solutions

Three fair coins are tossed simultaneously 10 times. Find the probability that "2 heads and one...
Three fair coins are tossed simultaneously 10 times. Find the probability that "2 heads and one tail" will show up (a) at least once and (b) at most once.
In tossing three fair coins, what is the probability of getting at least two heads?
In tossing three fair coins, what is the probability of getting at least two heads?
For the following exercises, four coins are tossed. Find the probability of tossing either two heads or three heads.
For the following exercises, four coins are tossed.Find the probability of tossing either two heads or three heads.
Suppose 16 coins are tossed. Find the probability of getting the following result using the binomial...
Suppose 16 coins are tossed. Find the probability of getting the following result using the binomial probability formula and the normal curve approximation. Exactly 6 heads. Binomial probability = ​(Round to 4 decimal​ places.) Normal curve approximation almost = ​(Round to 4 decimal​ places.)
Two coins are tossed. A die is thrown for each coin that falls heads. What is...
Two coins are tossed. A die is thrown for each coin that falls heads. What is the expected number of spots shown on the dice?
A coin with probability of heads equal to .6 is tossed a first series of 10...
A coin with probability of heads equal to .6 is tossed a first series of 10 tosses. Let X be the number of heads and let Y be the number of tails obtained. (a) (1 POINT) Argue with a short sentence that the covariance Cov(X, Y) should be negative. (b) (1 POINT) Find Cov(X,Y). In a second series of tosses, the same coin is tossed as many times as the number of heads in the first series. (c) (3 POINTS)...
A box contains 5 fair coins, 4 coins that land heads with probability 1/3 , and...
A box contains 5 fair coins, 4 coins that land heads with probability 1/3 , and 1 coin that lands heads with probability 1/4 . A coin is taken from the box at random and flipped repeatedly until it has landed heads three times. Let X be the number of times that the coin is flipped and Y be the probability that the coin lands heads. (a) Find the random variables E(X|Y ) and var(X|Y ) in terms of Y...
A box contains 5 fair coins, 4 coins that land heads with probability 1/3 , and...
A box contains 5 fair coins, 4 coins that land heads with probability 1/3 , and 1 coin that lands heads with probability 1/4 . A coin is taken from the box at random and flipped repeatedly until it has landed heads three times. Let X be the number of times that the coin is flipped and Y be the probability that the coin lands heads. (a) Find the random variables E(X|Y ) and var(X|Y ) in terms of Y...
A box contains 5 fair coins, 4 coins that land heads with probability 1/3 , and...
A box contains 5 fair coins, 4 coins that land heads with probability 1/3 , and 1 coin that lands heads with probability 1/4 . A coin is taken from the box at random and flipped repeatedly until it has landed heads three times. Let X be the number of times that the coin is flipped and Y be the probability that the coin lands heads. (a) Find the random variables E(X|Y ) and var(X|Y ) in terms of Y...
4 fair coins are tossed. Let X be the number of heads and Y be the...
4 fair coins are tossed. Let X be the number of heads and Y be the number of tails. Find Var(X-Y) Solution: 3.5 Why?
ADVERTISEMENT
ADVERTISEMENT
ADVERTISEMENT