Question

In: Accounting

Q5. High Precision Metal Company has to buy a laser cutting machine. They consider three alternatives...

Q5. High Precision Metal Company has to buy a laser cutting machine. They consider three alternatives as follows:

Alternative 1. Down payment $50,000, yearly nominal installment is 20,000 USD in a period of 8 years, and the yearly process and maintenance cost is $3000. The salvage value is $30,000 after 10 years.

Alternative 2. $80,000 USD investment and yearly nominal installment is $12,000 in a period of 10 years. The salvage value is $40,000. The yearly process and maintenance cost is $2000.

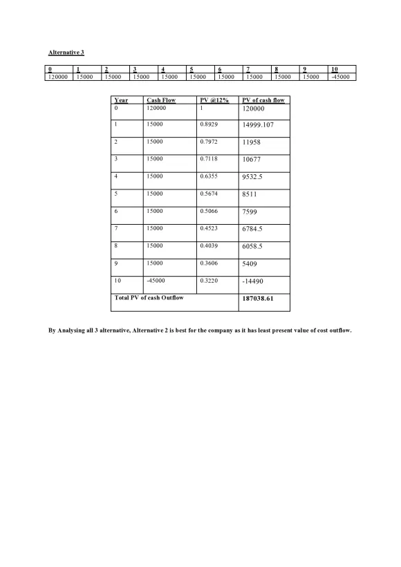
Alternative 3. 120,000 USD investment and yearly nominal cost 10,000 USD in a period of 9 years. The salvage value after 10 years is 50,000 USD. The yearly process and maintenance cost is $5000.

Which alternative is the best one if the company requires a 12% return on all investments? (Hint: you have to draw the time diagram first).

Solutions

Expert Solution


Related Solutions

The Hammerlink Company has been offered an special-purpose metal-cutting machine for $110,000. The machine is expected...
The Hammerlink Company has been offered an special-purpose metal-cutting machine for $110,000. The machine is expected to have a useful life of eight years with a terminal disposal price of $30,000. Savings in cash operating costs are expected to be $25,000 per year. However, additional working capital is needed to keep the machine running efficiently and without stoppages. Working capital includes such items as filters, lubricants, bearings, abrasives, flexible exhaust pipes, and belts. These items must continually be replaced so...
Heartland Paper Company is considering the purchase of a new high-speed cutting machine. Two cutting machine...
Heartland Paper Company is considering the purchase of a new high-speed cutting machine. Two cutting machine manufacturers have approached Heartland with proposals: (1) Toledo Tools and (2) Akron Industries. Regardless of which vendor Heartland chooses, the following incremental cash flows are expected to be realized. Year Incremental Cash Inflows Incremental Cash Outflows 1 $ 27,000 $ 22,000 2 28,000 23,000 3 33,000 28,000 4 36,000 31,000 5 35,000 30,000 6 34,000 29,000 a. If the machine manufactured by Toledo Tools...
Dave Metal is examining two options – Machine A and Machine B - for a core-cutting...
Dave Metal is examining two options – Machine A and Machine B - for a core-cutting machine. Machine A Initial Cost $ 250,000 Savings $28,000/year Maintenance Cost $10,000/year + $0.05/unit Labor $0.25/widget Life 10 years Salvage Value $22,500. Machine B Initial Cost $ 180,000 Savings $22,000/year Maintenance Cost $20,000 /year Labor $0.50/widget Life 5 years Salvage Value $ 17,000. MARR is 12 percent and the company’s sale projection is 30,000 widgets/year. Should either, both or neither machine be purchased? Use...
On January 2, 2015, Roth, Inc. purchased a laser cutting machine to be used in the...
On January 2, 2015, Roth, Inc. purchased a laser cutting machine to be used in the fabrication of a part for one of its key products. The machine cost $80,000, and its estimated useful life was four years or 1,000,000 cuttings, after which it could be sold for $5,000. Calculate the depreciation expense for each year of the machine's useful life under each of the following methods: a. Straight-line b. Double-Declining balance c. Units of Production. Assume annual production in...
On January 2, 2015, Roth, Inc. purchased a laser cutting machine to be used in the...
On January 2, 2015, Roth, Inc. purchased a laser cutting machine to be used in the fabrication of a part for one of its key products. The machine cost $120,000, and its estimated useful life was four years or 1,150,000 cuttings, after which it could be sold for $5,000. Required a. Calculate each year’s depreciation expense for the machine's useful life under each of the following depreciation methods (round all answers to the nearest dollar): 1. Straight-line. 2. Double-declining balance....
cost cutting problem: a company is considering the purchase of a new machine. the machine has...
cost cutting problem: a company is considering the purchase of a new machine. the machine has a cost of $1,500,000. the company believes that revenues will remain at their current levels, however operating costs will be reduced by $380,000 per year. the machine is expected to operate for 10 years. it will be sold for its salvage value of $80,000 at year 5. the company’s current investment in operating net working capital is $150,000. if the company purchases the new...
A company offers machine rental services for material cutting. Consider the following costs of the company...
A company offers machine rental services for material cutting. Consider the following costs of the company over the relevant range of 4,000 to 10,000 hours of operating time for its cutting equipment Total costs: 4,000 hours 5,000 hours 8,000 hours 10,000 hours Variable costs $20,000 ? ? ? Fixed costs 82,000 ? ? ? Total costs 102,000 ? ? ? Cost per hour: Variable costs ? ? ? ? Fixed costs ? ? ? ? Total cost per hour ?...
Computing Straight-Line and Double-Declining-Balance Depreciation On January 2, Haskins Company purchases a laser cutting machine for...
Computing Straight-Line and Double-Declining-Balance Depreciation On January 2, Haskins Company purchases a laser cutting machine for use in fabrication of a part for one of its key products. The machine cost $120,000, and its estimated useful life is five years, after which the expected salvage value is $7,500. Compute depreciation expense for each year of the machine's useful life under each of the following depreciation methods: Round answers to the nearest whole number, when applicable. a. Straight-line Year 1 $Answer...
Computing Straight-Line and Double-Declining-Balance Depreciation On January 2, Haskins Company purchases a laser cutting machine for...
Computing Straight-Line and Double-Declining-Balance Depreciation On January 2, Haskins Company purchases a laser cutting machine for use in fabrication of a part for one of its key products. The machine cost $112,000, and its estimated useful life is five years, after which the expected salvage value is $7,000. Compute depreciation expense for each year of the machine's useful life under each of the following depreciation methods: Note: Round answers to the nearest whole number, when applicable. a. Straight-line Year 1...
Depreciation Methods On January 2, 2018, Skyler, Inc. purchased a laser cutting machine to be used...
Depreciation Methods On January 2, 2018, Skyler, Inc. purchased a laser cutting machine to be used in the fabrication of a part for one of its key products. The machine cost $120,000, and its estimated useful life was four years or 920,000 cuttings, after which it could be sold for $5,000. Required a. Calculate each year’s depreciation expense for the machine's useful life under each of the following depreciation methods (round all answers to the nearest dollar): 1. Straight-line. 2....
ADVERTISEMENT
ADVERTISEMENT
ADVERTISEMENT