Question

In: Statistics and Probability

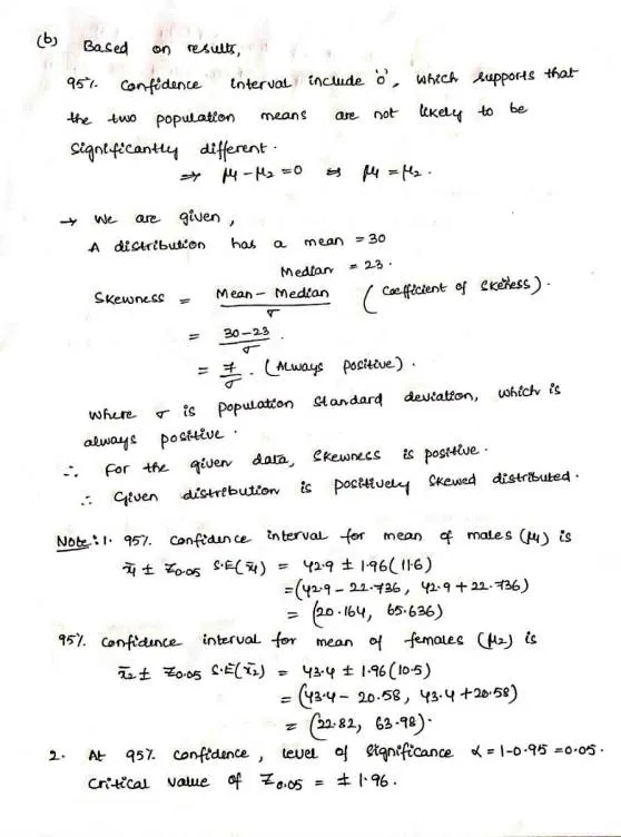
On average, do males outperform females in mathematics? To answer this question, a GCU student compared...

  1. On average, do males outperform females in mathematics? To answer this question, a GCU student compared the scores of male and female eighth-grade students who took a basic skill math test. A summary of the test scores is displayed below.                    

Males

Females

Sample Size

1964

1939

Mean

42.9

43.4

Standard Error

11.6

10.5

a.What would be the 95% CI for each of these data sets?   (3 points)

b.  Based on your results what do you conclude about whether or not these two populations are likely to be significantly different?  Explain your reasoning  (2 points)

  1. A distribution has a mean of 30 and a median of 23. Is it this distribution is positively skewed or negatively skewed? Explain your answer briefly.  (2 points)

Solutions

Expert Solution


Related Solutions

A researcher is interested in the amount of soda consumption for males and females compared to...
A researcher is interested in the amount of soda consumption for males and females compared to the population. Suppose that the researcher selects a sample of n = 36 male undergraduates and a sample of n = 25 female undergraduates. On average, males reported consuming M = 2.45 drinks per month, while females averaged M = 1.47 drinks per month. Assuming an overall average for undergraduates of μ= 1.85 drinks per month with a standard deviation σ=1.2, please answer the...
are females more likely than males to stay in an unsatisfactory job? to answer this question,...
are females more likely than males to stay in an unsatisfactory job? to answer this question, foxworthy news randomly sampled 150 females and 170 males. sixty females said they have stayed in an unsatisfactory job and sixty five males said they have stayed in an unsatisfactory job. at the 2.5% significance level, what conclusions can be reached?
On average, do males start smoking at an earlier grade than females? Data from 94 12th...
On average, do males start smoking at an earlier grade than females? Data from 94 12th grade boys that smoke and 108 12th grade females that smoke found that the mean grade of first use of cigarettes was 9.87 for boys (standard deviation of 1.75), and 10.17 for girls (standard deviation of 1.69). a) Is this sufficient evidence at alpha =.05 that the mean grade for first-time cigarette use is lower for boys than for girls? (10 points) b) Calculate...
It is known that in Canada females live longer than males, on average. The Insurance company...
It is known that in Canada females live longer than males, on average. The Insurance company is trying to estimate the difference for various social groups in different parts of Canada. Two random samples were taken in Ontario, providing life expectancy data at 65 for males and females who worked in Business (see the data file). Use t-test for two means as both distributions are approximately normal. Test the claim that the females live longer than males on average. Provide...
What is the average blood volume of females? males? What is hematocrit? What are the major...
What is the average blood volume of females? males? What is hematocrit? What are the major proteins of plasma? What are their functions? What are the scientific/medical names of red blood cells, white blood cells, and platelets? From what type of cell do they all originate? Where is this original type cell found? What is erythropoisis? What controls the rate at which it occurs? What is anemia? What are the three types of granular leucocytes? What are the two major...
why is scoliosis more frequently identified in females than in males? why do you think females...
why is scoliosis more frequently identified in females than in males? why do you think females often require more treatment than males diagnoised with scoliosis?
Females, on average, are shorter and weigh less than males. One of your friends, who is...
Females, on average, are shorter and weigh less than males. One of your friends, who is a pre-med student, tells you that in addition, females will weigh less for a given height. To test this hypothesis, you collect height and weight of 29 female and 81 male students at your university. A regression of the weight on a constant, height, and a binary variable, which takes a value of one for females and is zero otherwise, yields the following result:...
Females, on average, are shorter and weigh less than males. One of your friends, who is...
Females, on average, are shorter and weigh less than males. One of your friends, who is a pre-med student, tells you that in addition, females will weigh less for a given height. To test this hypothesis, you collect height and weight of 29 female and 81 male students at your university. A regression of the weight on a constant, height, and a binary variable, which takes a value of one for females and is zero otherwise, yields the following result:...
Question 2. Below is a crosstab table for the number of smokers among males and females...
Question 2. Below is a crosstab table for the number of smokers among males and females in a sample of 100 people. Is there a statistically significant association between Gender and Smoking? (Use Chi-Square). Male Female Total Smoking 22 18 40 Not smoking 26 34 60 Totals 48 52 100
Question: Did males and females differ in their levels of supporting others? a. Report the results...
Question: Did males and females differ in their levels of supporting others? a. Report the results to answer the question above in context. ANOVA - SUPPORTING_OTHERS Homogeneity Correction Cases Sum of Squares df Mean Square F p η² η² p ω² None GENDER 0.660 1.000 0.660 0.055 0.815 4.469e -4 4.469e -4 0.000 Residuals 1476.332 123.000 12.003 Welch GENDER 0.660 1.000 0.660 0.053 0.819 4.469e -4 4.469e -4 0.000 Residuals 1476.332 85.355 17.296
ADVERTISEMENT
ADVERTISEMENT
ADVERTISEMENT