Question

In: Advanced Math

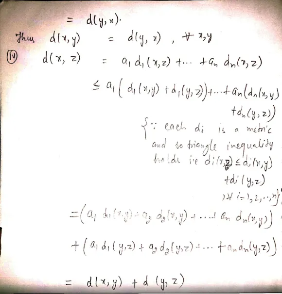
Please justify and prove each statement (Use explicitly the four axioms) a) Prove that a finite...

Please justify and prove each statement (Use explicitly the four axioms)

a) Prove that a finite positive linear combination of metrics is a metric (Use explicitly the four axioms). If it is infinite, will it be metric?

b) Is the difference between two metrics a metric? (d1 - d2)

Solutions

Expert Solution


Related Solutions

Assume B is a Boolean Algebra. Prove the following statement using only the axioms for a...
Assume B is a Boolean Algebra. Prove the following statement using only the axioms for a Boolean Algebra properties of a Boolean Algebra. Uniqueness of 0: There is only one element of B that is an identity for + please include all the steps.
Use models to show that each of the following statements is independent of the axioms of...
Use models to show that each of the following statements is independent of the axioms of incidence geometry: (a) Given any line, there are at least two distinct points that do not lie on it. (b) Given any point, there are at least three distinct lines that contain it. (c) Given any two distinct points, there is at least one line that does not contain either of them.
Prove that if a finite group G has a unique subgroup of order m for each...
Prove that if a finite group G has a unique subgroup of order m for each divisor m of the order n of G then G is cyclic.
5. For each set below, say whether it is finite, countably infinite, or uncountable. Justify your...
5. For each set below, say whether it is finite, countably infinite, or uncountable. Justify your answer in each case, giving a brief reason rather than an actual proof. a. The points along the circumference of a unit circle. (Uncountable because across the unit circle because points are one-to-one correspondence to real numbers) so they are uncountable b. The carbon atoms in a single page of the textbook. ("Finite", since we are able to count the number of atoms in...
Please use any of the methods to prove whether each of the following arguments is valid...
Please use any of the methods to prove whether each of the following arguments is valid or invalid. For each problem, please identify the method that you have decided to employ and make sure to show your work. 1. It is obvious that nuclear energy is needed. Nuclear energy is needed if and only if solar energy cannot be harnessed. And it is also true both that solar energy can be harnessed only if funds to do so are available,...
Indicate whether each statement is True or False. Briefly justify your answers ( Please answer C...
Indicate whether each statement is True or False. Briefly justify your answers ( Please answer C and E both ) (c) The set of all 3 × 3 matrices A with zero trace (T r(A) = 0) is a vector space under the usual matrix operations of addition and scalar multiplication. ( e) If x⃗1 and x⃗2 are in the null space of a square matrix A, then any linear combination of x⃗1 and x⃗2 is also in the null...
Ex 1. Prove by contrapositive the following claims (please, write down the contrapositive for each statement...
Ex 1. Prove by contrapositive the following claims (please, write down the contrapositive for each statement first). Claim 1: Let n be an integer. If n 2 − 6n + 5 is even, then n is odd. Claim 2: Let a, b, c be positive real numbers. If ab = c then a ≤ √ c or b ≤ √ c.
For each of the following statements, state whether the statement is true or false AND justify...
For each of the following statements, state whether the statement is true or false AND justify your answer. When a map-reduce job is running on Hadoop, the number of map tasks must be equal to the number of reduce tasks because each map task feeds its output to a specific reduce task. In order to guarantee the scalability of the system, each file block is replicated three times in Hadoop distributed file system (HDFS). When a map-reduce job is submitted...
Please prove this and explain each step. Thank you. Use logical reasoning to solve the following...
Please prove this and explain each step. Thank you. Use logical reasoning to solve the following puzzle: Five friends disagree on whether to play video games or basketball. Either Alice or Bob, or both, want to play video games. Cindy and Don disagree on what they want to play. If Ellen plays video games, then so does Cindy. Alice and Don will play the same game. If Bob plays video games, then so do Alice and Ellen. Who is playing...
Determine whether each statement is true or false. If it is true, prove it. If it...
Determine whether each statement is true or false. If it is true, prove it. If it is false, give a counterexample. a) For every function f : X → Y and all A ⊆ X, we have f^−1 [f[A]] = A. (b) For every function f : X → Y and all A ⊆ X, we have f[X \ A] = Y \ f[A]. (c) For every function f : X → Y and all A, B ⊆ Y ,...
ADVERTISEMENT
ADVERTISEMENT
ADVERTISEMENT