Question

In: Physics

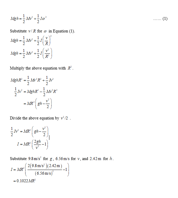
What is the moment of inertia of an object that rolls without slipping down a 2.42...

What is the moment of inertia of an object that rolls without slipping down a 2.42 m-high incline starting from rest, and has a final velocity of 6.56 m/s? Express the moment of inertia as a multiple of MR^2, where M is the mass of the object and R is its radius.

Solutions

Expert Solution


Related Solutions

A ball rolls down along an incline without slipping. A block slides down from the same...
A ball rolls down along an incline without slipping. A block slides down from the same incline without friction. Assuming the two objects start from the same position, which of the following statement is correct?
A, A thin cylindrical shell is released from rest and rolls without slipping down an inclined...
A, A thin cylindrical shell is released from rest and rolls without slipping down an inclined ramp, a distance s, that makes an angle of θ with the horizontal. If the coefficient of friction is µK, what is the speed at the bottom of the ramp? 2, A force P pushes a block at an angle 30° from the vertical across the ceiling. There is a coefficient of kinetic friction, µk. What is the acceleration?
a 1m radius cylinder with a mass of 852.9 kg rolls without slipping down a hill...
a 1m radius cylinder with a mass of 852.9 kg rolls without slipping down a hill which is 82.1 meters high. at the bottom of the hill what friction of its total kinetic energy is invested in rotational kinetic energy
A uniform hoop of mass M and radius R rolls down an incline without slipping, starting...
A uniform hoop of mass M and radius R rolls down an incline without slipping, starting from rest. The angle of inclination of the incline is θ. a. After moving a distance L along the incline, what is the angular speed ω of the hoop? b. If the coefficient of static friction between the hoop and the incline is µs = 1/3, what is the greatest possible value of θ such that no slipping occurs between the hoop and the...
a spherical shell of mass 2.0 kg rolls without slipping down a 38 degree slope A)...
a spherical shell of mass 2.0 kg rolls without slipping down a 38 degree slope A) Find the acceleration, the friction force, and the minimum coefficient of friction needed to prevent slipping. B) if the spherical starts from rest at the top how fast is the center of mass moving at the bottom of the slope if the slope is 1.50 m high? PLEASE INCLUDE DIAGRAM
A hollow, spherical shell with mass 1.80 kg rolls without slipping down a slope angled at...
A hollow, spherical shell with mass 1.80 kg rolls without slipping down a slope angled at 40.0 ∘. Part A Find the acceleration. Take the free fall acceleration to be g = 9.80 m/s2 partB Find the friction force. Take the free fall acceleration to be g = 9.80 m/s2 Part C Find the minimum coefficient of friction needed to prevent slipping.
A 12-kg cylinder of radius 0.10 m starts at rest and rolls without slipping down a...
A 12-kg cylinder of radius 0.10 m starts at rest and rolls without slipping down a ramp that is 4.5 m long and inclined at 30? to the horizontal. When the cylinder leaves the end of the ramp, it drops 5.0 m to the ground. At what horizontal distance from the end of the ramp does it land?
A solid 0.5350-kg ball rolls without slipping down a track toward a loop-the-loop of radius R...
A solid 0.5350-kg ball rolls without slipping down a track toward a loop-the-loop of radius R = 0.8150 m. What minimum translational speed vmin must the ball have when it is a height H = 1.276 m above the bottom of the loop, in order to complete the loop without falling off the track?
On which of the following does the moment of inertia of an object depend?
On which of the following does the moment of inertia of an object depend? Check all that apply.   linear speed linear acceleration angular speed angular acceleration total mass shape and density of the object location of the axis of rotation  
A bowling ball rolls without slipping up a ramp. If the speed at the bottom of...
A bowling ball rolls without slipping up a ramp. If the speed at the bottom of the ramp is 2.85 m/s and the height of the ramp is 0.525 m, what is the speed of the ball at the top of the ramp?
ADVERTISEMENT
ADVERTISEMENT
ADVERTISEMENT