Question

In: Physics

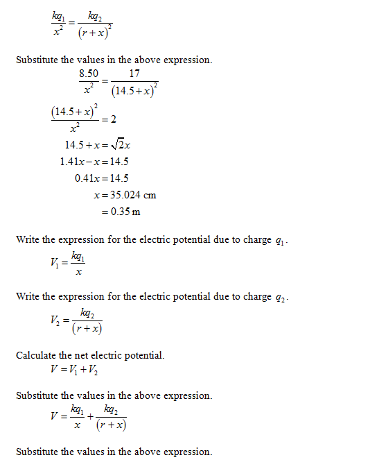
A -8.50 nC point charge and a +17.0nC point charge are 14.5 cm apart on the...

A -8.50 nC point charge and a +17.0nC point charge are 14.5 cm apart on the x-axis.

a)What is the electric potential at the point on the x-axis where the electric field is zero?

b)What is the magnitude of the electric field at the point on the x-axis, between the charges, where the electric potential is zero?

Solutions

Expert Solution


Related Solutions

A -8.50 nC point charge and a +17.0nC point charge are 17.5 cm apart on the...
A -8.50 nC point charge and a +17.0nC point charge are 17.5 cm apart on the x-axis. What is the electric potential at the point on the x-axis where the electric field is zero? What is the magnitude of the electric field at the point on the x-axis, between the charges, where the electric potential is zero?
A -10.0 nC point charge and a +20.0 nC point charge are 15.0 cm apart on...
A -10.0 nC point charge and a +20.0 nC point charge are 15.0 cm apart on the x-axis. Part A) What is the electric potential at the point on the x-axis where the electric field is zero? Answer in V Part B) What is the magnitude of the electric field at the point on the x-axis, between the charges, where the electric potential is zero? Answer in N/C
A -12.0 nC point charge and a +24.0nC point charge are 18.0 cm apart on the...
A -12.0 nC point charge and a +24.0nC point charge are 18.0 cm apart on the x axis What is the electric potential at the point on the x axis where the electric field is zero? What is the magnitude of the electric field at the point on the x-axis, between the charges, where the electric potential is zero?
A -10.0 nC point charge and a +20.0nC point charge are 13.5 cm apart on the...
A -10.0 nC point charge and a +20.0nC point charge are 13.5 cm apart on the x-axis. Part A What is the electric potential at the point on the x-axis where the electric field is zero? Express your answer with the appropriate units. Part B What is the magnitude of the electric field at the point on the x-axis, between the charges, where the electric potential is zero? Express your answer with the appropriate units.
A -11.0 nC point charge and a +22.0nC point charge are 18.0 cm apart on the...
A -11.0 nC point charge and a +22.0nC point charge are 18.0 cm apart on the x-axis. A)What is the electric potential at the point on the x-axis where the electric field is zero? B) What is the magnitude of the electric field at the point on the x-axis, between the charges, where the electric potential is zero?
A -3.00 nC point charge is at the origin, and a second -6.50 nC point charge...
A -3.00 nC point charge is at the origin, and a second -6.50 nC point charge is on the x-axis at x = 0.800 mm. a. Find the electric field (magnitude and direction) at point on the x-axis at x = 0.200 m. b.Find the electric field (magnitude and direction) at point on the x-axis at x= 1.20 m. c.Find the electric field (magnitude and direction) at point on the x-axis at x = -0.200 m.
A -3.00 nC point charge is at the origin, and a second -5.50 nC point charge...
A -3.00 nC point charge is at the origin, and a second -5.50 nC point charge is on the x-axis at x = 0.800 m. Q1: Find the net electric force that the two charges would exert on an electron placed at point on the x-axis at x = 0.200 m. Q2: Find the net electric force that the two charges would exert on an electron placed at point on the x-axis at x = 1.20 m. Q3: Find the...
A -3.50 nC point charge is at the origin, and a second -5.50 nC point charge...
A -3.50 nC point charge is at the origin, and a second -5.50 nC point charge is on the x-axis at x = 0.800 mm. D) Find the net electric force that the two charges would exert on an electron placed at point on the x-axis at x = 0.200 mm. Express your answer with the appropriate units. Enter positive value if the force is in the positive x-direction and negative value if the force is in the negative x-direction....
A -4.00 nC point charge is at the origin, and a second -5.00 nC point charge...
A -4.00 nC point charge is at the origin, and a second -5.00 nC point charge is on the x-axis at x = 0.800 mm. a. Find the net electric force that the two charges would exert on an electron placed at point on the x-axis at x = 0.200 mm. b. Find the net electric force that the two charges would exert on an electron placed at point on the x-axis at x = 1.20 mm. c. Find the...
A -3.00 nC point charge is at the origin, and a second -5.50 nC point charge...
A -3.00 nC point charge is at the origin, and a second -5.50 nC point charge is on the x-axis at x = 0.800 m. Q1: Find the net electric force that the two charges would exert on an electron placed at point on the x-axis at x = 1.20 mm. Q2: Find the net electric force that the two charges would exert on an electron placed at point on the x-axis at x = -0.200 m
ADVERTISEMENT
ADVERTISEMENT
ADVERTISEMENT