Question

In: Physics

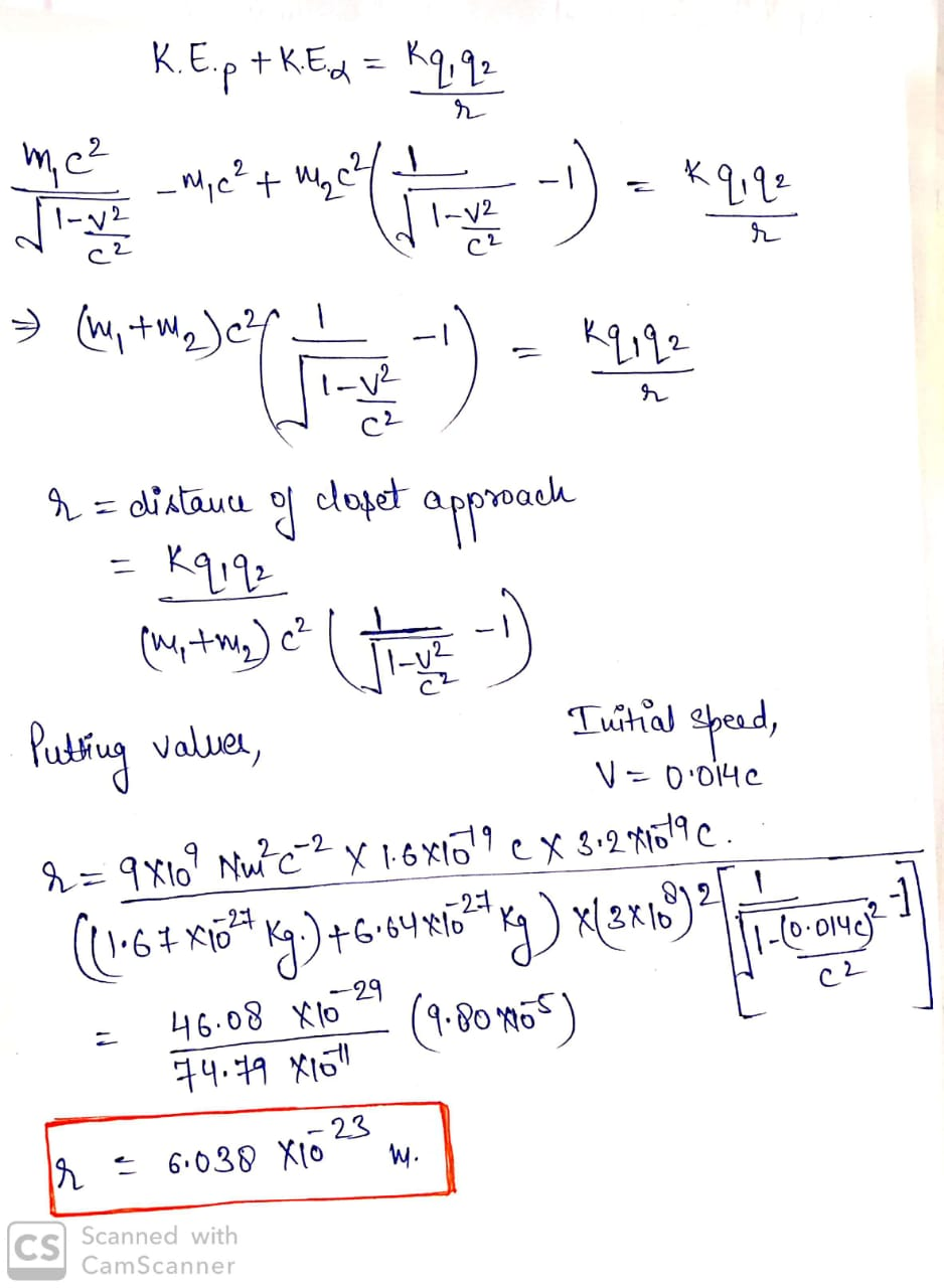
A proton and an alpha particle (q=+2e,m=4u) are fired directly toward each other from far away,...

A proton and an alpha particle (q=+2e,m=4u) are fired directly toward each other from far away, each with an initial speed

of 0.014 c .

Part A

What is their distance of closest approach, as measured between their centers?

Express your answer to two significant figures and include the appropriate units

Solutions

Expert Solution

r= distance of closet approach.


Related Solutions

A proton is fired from far away toward the nucleus of a mercury atom. Mercury is...
A proton is fired from far away toward the nucleus of a mercury atom. Mercury is element number 80, and the diameter of the nucleus is 14.0 fm. If the proton is fired at a speed of 4.4
A proton and an alpha particle are momentarily at rest at a distance r from each...
A proton and an alpha particle are momentarily at rest at a distance r from each other. They then begin to move apart. Find the speed of the proton by the time the distance between the proton and the alpha particle doubles. Both particles are positively charged. The charge and the mass of the proton are, respectively, e andm. The charge and the mass of the alpha particle are, respectively, 2e and 4m. A- Find the speed of the proton...
A proton and an alpha particle are released from rest when they are 0.210 nm apart....
A proton and an alpha particle are released from rest when they are 0.210 nm apart. The alpha particle (a helium nucleus) has essentially four times the mass and two times the charge of a proton. Find the maximum speed of proton. Find the maximum speed of alpha particle. Find the maximum acceleration of proton. Find the maximum acceleration of alpha particle.
A proton and an alpha particle are released from rest when they are 0.240 nm apart....
A proton and an alpha particle are released from rest when they are 0.240 nm apart. The alpha particle (a helium nucleus) has essentially four times the mass and two times the charge of a proton. Part A Find the maximum speed of proton. vmax =   m/s   Part B Find the maximum speed of alpha particle. vmax =   m/s   Part C Find the maximum acceleration of proton. amax =   m/s2   Part D Find the maximum acceleration of alpha particle. amax...
Generate an entangled pair of qubits. Send to Alice and Bob far away from each other....
Generate an entangled pair of qubits. Send to Alice and Bob far away from each other. Both measure along basis in one of two possible orientations. The result is sent to Charlie at some later time, who compares the corellations and concludes the Bell inequalities have been violated. But in Copenhagen, Charlie can say, the pair of results didn't become real until I collected both observations from Alice and Bob. They weren't real when either of them measured them. They...
Two truckers are traveling directly away from each other at the same speed. If one trucker...
Two truckers are traveling directly away from each other at the same speed. If one trucker sounds her horn at a frequency of 236 Hz, and the other trucker hears a frequency of 223 Hz, determine the speed of the trucks. Use the speed of sound as 343 m/s.
In an experiment, two protons are shot directly toward each other, each moving at half the...
In an experiment, two protons are shot directly toward each other, each moving at half the speed of light relative to the laboratory. a What speed does one proton measure for the other proton? b What would be the answer to part (a) if we used only nonrelativistic Newtonian mechanics? c What is the kinetic energy of each proton as measured by an observer at rest in the laboratory? d What is the kinetic energy of each proton as measured...
Consider a spacecraft that is far away from planets or other massive objects. The mass of...
Consider a spacecraft that is far away from planets or other massive objects. The mass of the spacecraft is M = 1.5×105 kg. The rocket engines are shut off and the spacecraft coasts with a velocity vector v = (0, 20, 0) km/s. The space craft passes the position x = (12, 15, 0) km at which time the spacecraft fires its thruster rockets giving it a net force of F = (6 × 104 , 0, 0) N which...
An electron and a positron are located 17 m away from each other and held fixed...
An electron and a positron are located 17 m away from each other and held fixed by some mechanism. The positron has the same mass and the same magnitude of charge as those of the electron, but its charge is positive. The electron and the positron are released at the same time by the mechanism. The electron and the positron begin to speed up towards each other. What velocities should they have when they are 1.3 m away from each...
A sound source A and a reflecting surface B move directly toward each other. Relative to...
A sound source A and a reflecting surface B move directly toward each other. Relative to the air, the speed of source A is 29.7 m/s, the speed of surface B is 63.5 m/s, and the speed of sound is 330 m/s. The source emits waves at frequency 1350 Hz as measured in the source frame. In the reflector frame, what are (a) the frequency and (b) the wavelength of the arriving sound waves? In the source frame, what are...
ADVERTISEMENT
ADVERTISEMENT
ADVERTISEMENT