Question

In: Chemistry

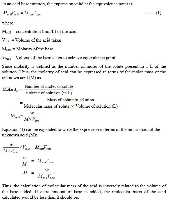
Suppose you titrated your standard acid (KHP) with the base to be standardized, but added several...

Suppose you titrated your standard acid (KHP) with the base to be standardized, but added several drops extra of the base (i.e. stopped the titration after the phenolphthalein indicator in the solution turned very pink).

If this calculated value was used to determine the molar mass of the unknown acid, what type of error would you have for the molar mass of the unknown acid? (i.e. would you overestimate or underestimate the molar mass value?) Support your answer by, for every step in the calculation, determining whether the calculated value would be greater or less than it should be.

Solutions

Expert Solution


Related Solutions

Suppose you are titrating an acid of unknown concentration with a standardized base. At the beginning...
Suppose you are titrating an acid of unknown concentration with a standardized base. At the beginning of the titration, you read the base titrant volume as 1.99 ml. After running the titration and reaching the endpoint, you read the base titrant volume as 20,54 ml.   What volume, in ml, of base was required for the titration?
In step 4 of part A where you add distilled water to the acid KHP, suppose...
In step 4 of part A where you add distilled water to the acid KHP, suppose you add 40 mL DI h2o instead of 30mL to the flask to dissolve the KHP. Why would this affect the overall outcome of your data? Why/why not? Hint: try to determine whether or not your calculations are affected by this change.   this was a titration performed between KHP and NaOH solution
A weak acid is titrated with a strong base and the pH is measured at each...
A weak acid is titrated with a strong base and the pH is measured at each interval. It the equivalence point is reached when 30 mL of the base has been added, describe how the pKa of the acid can be determined.
Consider a monoprotic weak acid (HA) that is titrated with a strong base. What is the...
Consider a monoprotic weak acid (HA) that is titrated with a strong base. What is the relationship between the strength of the weak acid and the pH of the solution at the equivalence point?  There is no relationship between the strength of the acid and the pH at the equivalence point. The pH at the equivalence point is always 7 in an acid base titration. The weaker the acid, the higher the pH at the equivalence point. The stronger the...
Draw a titration curve for both a strong acid titrated by a strong base and a...
Draw a titration curve for both a strong acid titrated by a strong base and a weak acid titrated by a strong base. Identify the equivalence point and the half equivalence point on these graphs. Define each of these points and tell what information these points can give you. Also tell what species are present at the beginning of the titration, at the half equivalence point, at the equivalence point and after the equivalence point. . Draw a titration curve...
An acid with a Ka= 0.000343, is titrated with a strong base, what would the pH...
An acid with a Ka= 0.000343, is titrated with a strong base, what would the pH be after half the volume of base needed to reach the equivalenc point has been added?
Classify each titration curve as representing a strong acid titrated with a strong base
Classify each titration curve as representing a strong acid titrated with a strong base, a strong base titrated with a strong acid, a weak acid titrated with a strong base, a weak base titrated with a strong acid, or a polyprotic acid titrated with a strong base. Calculate the pH of the resulting solution if 20.0 mL of 0.200 M HCl(aq) is added to 30.0 mL of 0.200 M NaOH(aq). pH = Calculate the pH of the resulting solution if 20.0 mL...
When a weak acid (HA) is titrated with NaOH (a strong base),    (a) what species...
When a weak acid (HA) is titrated with NaOH (a strong base),    (a) what species are present in the weak acid solution before the titration is started? (b) what species is/are decreasing during the titration? (c) what species is/are increasing during the titration? (d) what species is/are not involved in the reaction? (e) what is meant by the equivalence point? (f) what important species concentration increases after the equivalence point?  
A 25.0 mL of a weak acid is titrated with a strong base (0.1 M). Calculate...
A 25.0 mL of a weak acid is titrated with a strong base (0.1 M). Calculate the pH of the solution during the titration if the weak acid concentration is 0.10 M and its Ka = 1.8 x 10-5 and 10.0 mL of base has been added. (Hint: use Henderson-Hasselbach equation). a) pH = 4.56 b) pH= 5.28 c) pH= 4.74
“When a strong base is gradually added dropwise to a weak acid, the pH changes at...
“When a strong base is gradually added dropwise to a weak acid, the pH changes at each addition. When the appropriate quantity of base has been added to react with all of the acid, the pH changes sharply, indicating the endpoint of the titration. A plot of pH versus volume of base added gives what is known as a titration curve”. Consider the titration of 25.00 mL of 0.1000 M benzoic acid with 0.1000 M NaOH,. Write a balanced chemical...
ADVERTISEMENT
ADVERTISEMENT
ADVERTISEMENT