In: Chemistry
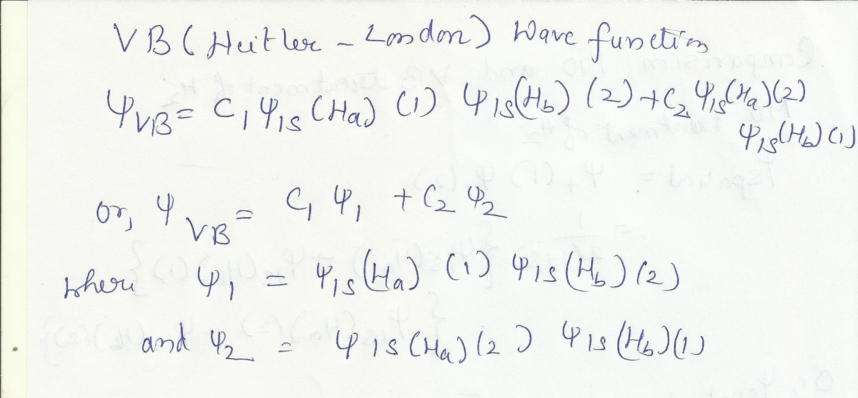
In addition to the molecular orbital treatment of H2, the ground state can be treated by the so-called valence bond (Heitler-London) approach, where individual covalent bonds are combined to form an antisymmetric wave function with spins up and down. Look up this approach and compare the results with the simple MO treatment in terms of bond energy (kJ/mol) and bond distance (pm).
In VB(heitler –london approach) the two electrons of H2 are considered to be indistinguishable from each other, and its difficult to predict which electron is associated with Ha or Hb atom of H2 molecule.Thus , both ionic and covalent structures are taken into account in this modified VB treatment of H2.The bond energy includes both coulombic interactions between ions and exchange interactions between Ha atoms, so is in 66.6% agreement with the experimental value of bond energy and bond distance.(bond energy calculated by VB=305kj/mol bond distance=87 pm
Observed bond energy=458.32 kj/mol.bond distance=74.1 pm

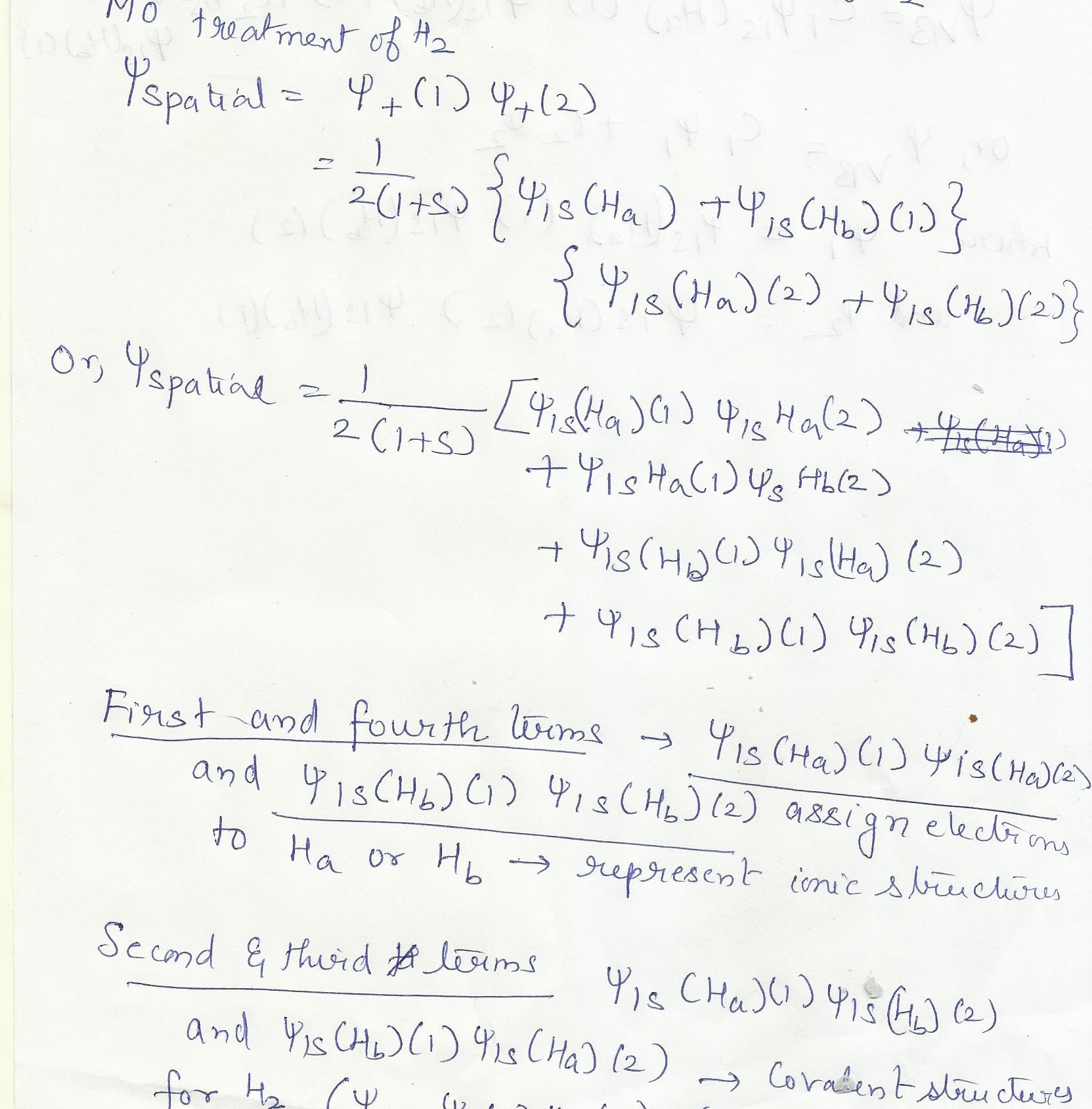
In MO treatment of H2,two electrons with opposite spin are assigned to the lowest molecular orbital.(spatial wave function)
The first and fourth terms assign both electrons to either Ha or Hb atom of H2 molecule and hence represent ionic structures.The second and third terms assign one electron to each of the atom and hence represent covalent structures.
So MO theory gives equal weightage to both covalent and ionic structures and is poor at large internuclear separations as the dissociation product will be an equal mixture of ion and atom.In actual practice we get two hydrogen atoms.The bond distance is much less compared to valence bond treatment (including Heitler-london approach).And binding energy is much high as the molecular orbital is taken into account and atoms are difficult to separate.
