Question

In: Physics

Vector subtraction is the addition of a vector in the opposite direction. For Cases A, B,...

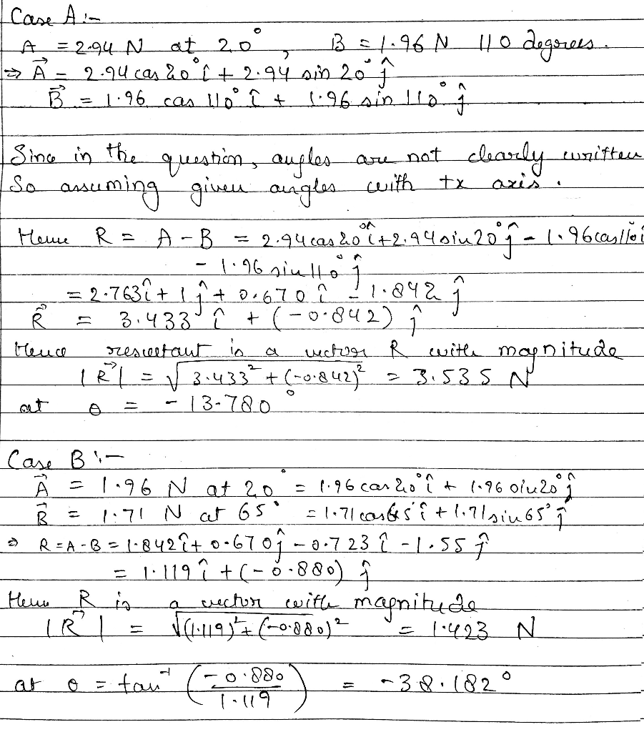
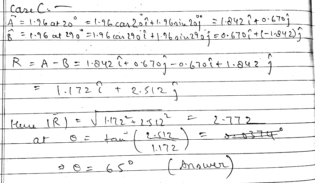
Vector subtraction is the addition of a vector in the opposite direction. For Cases A, B, and C, what would be the result of ⃗R=⃗A−⃗B . You may compute the answer by analytical methods, but show your work as well as the answer.

CASE A: Vector A: 2.94N at 20 degrees Vector B: 1.96N at 110 degrees.

CASE B: Vector A: 1.96N at 20 degrees Vector B: 1.71N at 65 degrees
CASE C: Vector A: 1.96N at 20 degrees Vector B: 1.96N at 290 degrees

Solutions

Expert Solution


Related Solutions

If the x-component of a vector is smaller than its y-component then that vector is in the opposite direction to its y-component.
Which of the following statements is a true statement?If the x-component of a vector is smaller than its y-component then that vector is in the opposite direction to its y-component.A vector's magnitude cannot be more than the magnitude of one of its components.A vector can have positive or negative magnitudes.The magnitude of a vector cannot be zero unless all of its components are zero.A vector's magnitude cannot be less than the sum of the magnitude of its components.
1)An object experiences a force in the direction opposite its motion. This means the work vector...
1)An object experiences a force in the direction opposite its motion. This means the work vector points in the negative direction the scalar value of work is negative the scalar vector of work could be either positive or negative, depending on which direction is chosen to be positive. the work vector could point in either the positive or negative direction, depending on which direction is chosen to be positive. 2: A hand lifts a block vertically upward at constant velocity....
Not all operators are commutative, namely, a*b = b*a. Consider functions under the operators addition, subtraction,...
Not all operators are commutative, namely, a*b = b*a. Consider functions under the operators addition, subtraction, multiplication, division, and composition. Pick two of the functions and use a grapher (like Desmos) to graph the functions under the operators. If the functions are commutative under the operator, the graphs should be identical (overlap everywhere) when you change the order in which the functions are entered with the operator. Determine which operators seem to the commutative and which operators seem not to...
1) Perform the following addition and subtraction operations. For subtraction, negate the subtrahend (the second value)...
1) Perform the following addition and subtraction operations. For subtraction, negate the subtrahend (the second value) and add. For each operation, show the interpretation as both unsigned and signed operations. Indicate whether an unsigned or signed overflow has occurred that invalidates the result under that interpretation. Use an eight bit byte for all operations and for the signed interpretation, use two’s complement representation. Spaces are used in the binary values only for readability a. 1001 1111 + 0111 1000 b....
Add A = 14 at 60o and B = 32 at 240o Vector addition
Add A = 14 at 60o and B = 32 at 240o Vector addition
The vector A has a magnitude of 16.5 and a direction of 146 degrees. The vector...
The vector A has a magnitude of 16.5 and a direction of 146 degrees. The vector B has a magnitude of 17 and a direction of 69.5 degrees. The vector C has a magnitude of 16.5 and a direction of 32 degrees. All angles are measured counterclockwise from the positive x axis. The vector D follows the following relation: D = A + B − C What are the magnitude and direction of the vector D?
There are four basic functions in math. They are addition, subtraction, multiplication and division. Children in...
There are four basic functions in math. They are addition, subtraction, multiplication and division. Children in 1st grade focus on addition. They are required to memorize their addition facts from 1 to 12. Create a function that prompts the user to enter a number between 1 and 12. Then display - using the input supplied - the addition and subtraction math facts for that number from 1 to 12 for the number entered. The output should be the results of...
There are four basic functions in math. They are addition, subtraction, multiplication and division. Children in...
There are four basic functions in math. They are addition, subtraction, multiplication and division. Children in 1st grade focus on addition. They are required to memorize their addition facts from 1 to 12. Create a function that prompts the user to enter a number between 1 and 12. Then display - using the input supplied - the addition and subtraction math facts for that number from 1 to 12 for the number entered. The output should be the results of...
The force produced by a spring is always opposite to the direction of compression or expansion...
The force produced by a spring is always opposite to the direction of compression or expansion always opposite to the direction of expansion but in the direction of compression always opposite to the direction of compression but in the same direction as expansion always in the same direction as expansion or compression The 75.0 kg hero of a movie is pulled upward at a constant velocity by a rope. What is the tension on the rope? 7.65N 735N this problem...
1. Assume   α   is   opposite   side   a,   β   is   opposite   side   b,   and   γ   is   opposite  ...
1. Assume   α   is   opposite   side   a,   β   is   opposite   side   b,   and   γ   is   opposite   side   c.   Solve   each   triangle,   if   possible.   Round   each   answer   to   the   nearest   tenth.   a. ?=10,?=95°,?=30° b. ?=43.1°,?=184.2,?=242.8
ADVERTISEMENT
ADVERTISEMENT
ADVERTISEMENT