Question

In: Other

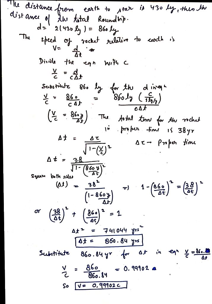
In an attempt to reduce the extraordinarily long travel times for voyaging to distant stars, some...

In an attempt to reduce the extraordinarily long travel times for voyaging to distant stars, some people have suggested traveling at close to the speed of light. Suppose you wish to visit the red giant star Betelgeuse, which is 430 ly l y away, and that you want your 20,000 kg k g rocket to move so fast that you age only 38 years during the round trip.


How fast must the rocket travel relative to earth?


How much energy is needed to accelerate the rocket to this speed?


How many times larger is this energy than the total energy used by the United States in the year 2000, which was roughly 1.0×1020J1.0×1020J?

Solutions

Expert Solution


Related Solutions

In an attempt to reduce the extraordinarily long travel times for voyaging to distant stars, some...
In an attempt to reduce the extraordinarily long travel times for voyaging to distant stars, some people have suggested traveling at close to the speed of light. Suppose you wish to visit the red giant star Betelgeuse, which is 430 ly away, and that you want your 20,000 kg rocket to move so fast that you age only 22 years during the round trip. 1.How fast (v) must the rocket travel relative to earth? 2. How much energy is needed...
In an attempt to reduce the extraordinarily long travel times for voyaging to distant stars, some...
In an attempt to reduce the extraordinarily long travel times for voyaging to distant stars, some people have suggested traveling at close to the speed of light. Suppose you wish to visit the red giant star Betelgeuse, which is 430 ly away, and that you want your 20,000 kg rocket to move so fast that you age only 24 years during the round trip. A) How fast, as a fraction of c, must the rocket travel relative to earth? B)...
How are variable stars useful to astronomers? If no variable stars are easily identified in distant...
How are variable stars useful to astronomers? If no variable stars are easily identified in distant galaxies, what do astronomers use to determine distance?
(a) Light from distant objects, such as stars, are imaged by a single lens. Assuming the...
(a) Light from distant objects, such as stars, are imaged by a single lens. Assuming the focal length of the lens is 10 cm and the aperture size is 2 cm, what is the minimum resolvable angle? Write every step. (b) The same lens is used for imaging an amplitude grating. What is the minimum grating spacing that will yield any intensity variation(s) on the image plane using (i) coherent and (ii) incoherent illumination? Be very specific in your answer...
While attempting to view distant stars, many novice, hobby astronomers will either buy or build a...
While attempting to view distant stars, many novice, hobby astronomers will either buy or build a telescope to use. Under an entirely hypothetical situation, a novice astronomer purchases a +400mm concave lens and a -100mm eyepiece. a) Where would the -100mm eyepiece need to be located in relation to the +400mm objective lens in order to resolve and image? b) Where would the image being produced by the eyepiece be located and will it be erect or inverted? c) What...
Describe why some stars, such as white dwarfs and neutron stars become degenerate. What are the...
Describe why some stars, such as white dwarfs and neutron stars become degenerate. What are the two fundamental physics principles that underpin the concept of degeneracy?
In recent times the principle of the Michelson intereferometer is being used in an attempt to...
In recent times the principle of the Michelson intereferometer is being used in an attempt to detect gravitational waves (LIGO experiment). A successful measurement requires an accuracy of 10-16cm. Assuming t hat the light is reflected only once in each arm and the wavelength of the laser is 632.8 nm, calculate the relative change of the intensity in the center of the image. (for simplicity assume that the intensity is zero for minimum and 1 for maximum of the interference...
You are asked to work on a “stop smoking” campaign in an attempt to reduce health...
You are asked to work on a “stop smoking” campaign in an attempt to reduce health insurance costs. The organization is willing to spend $100,000 on the campaign, divided between broadcast advertising (TV and radio) and newspaper advertising. They ask you to advise them on the optimal allocation of this money. The first task is to find estimates of how many people stop smoking in response to various combinations of broadcast and newspaper advertising. What information will this data provide?...
One Hypothesis test is an F test for the equality of the variances of travel Times and the second test is a T-test for the equality of the means of travel times in MINUTES.
  One Hypothesis test is an F test for the equality of the variances of travel Times and the second test is a T-test for the equality of the means of travel times in MINUTES. The F test must be performed first in order to select either Case1 or Case 2 for the T-test as listed in chapter 5. Then perform the Required T-test (either case 1 or 2 depending on your findings of the F-test). Also in the Conclusion...
New attempt is in progress. Some of the new entries may impact the last attempt grading.Your...
New attempt is in progress. Some of the new entries may impact the last attempt grading.Your answer is partially correct. Blossom Corp. purchased machinery for $381,450 on May 1, 2020. It is estimated that it will have a useful life of 10 years, salvage value of $18,450, production of 290,400 units, and working hours of 25,000. During 2021, Blossom Corp. uses the machinery for 2,650 hours, and the machinery produces 31,400 units. From the information given, compute the depreciation charge...
ADVERTISEMENT
ADVERTISEMENT
ADVERTISEMENT