Question

In: Physics

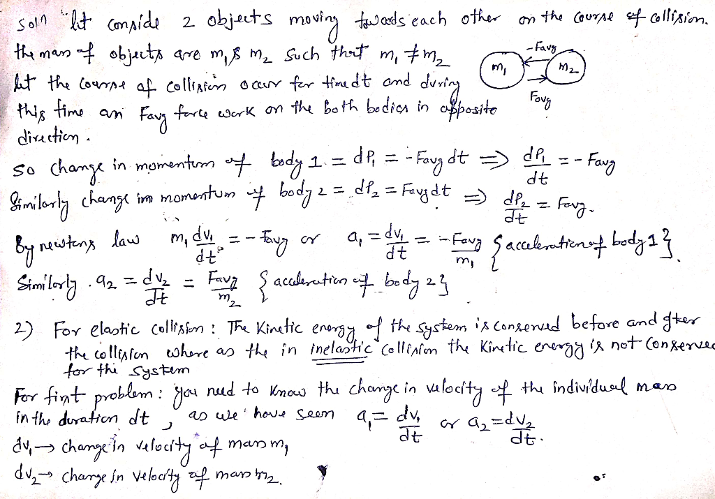
When two objects collide, the impulse each delivers to the other is equal and opposite. But...

When two objects collide, the impulse each delivers to the other is equal and opposite. But each object might experience a different acceleration. Calculate the acceleration of two objects in a given collision.

• How can you tell the difference between elastic and inelastic collisions? How would I set the first question up? Is there a specific equation I need to use?

How would I set it up? Do I need to first find the velocities of each object and then use those to find the acceleration of each?

Solutions

Expert Solution


Related Solutions

When two objects collide head-on, consider the comparison of the average forces each object experiences during...
When two objects collide head-on, consider the comparison of the average forces each object experiences during the collision as a function of the mass, initial velocities, and final velocities of the two objects. PLEASE GIVE DETAILED EXAMPLE. Thanks
Two particles approach each other with equal and opposite speed v. The mass of one particle...
Two particles approach each other with equal and opposite speed v. The mass of one particle is m, and the mass of the other particle is nm, where n is just a unitless number. Snapshots of the system before, during, and after the elastic collision are shown above. After the collision the first particle moves in the exact opposite direction with speed 2.40v, and the speed of the second particle is unknown. What is the value of n?
a. Two air-track gliders with equal and opposite speeds of 10.00 cm/s head toward each other...
a. Two air-track gliders with equal and opposite speeds of 10.00 cm/s head toward each other and collide, sticking together. Glider A, coming from the left, has a mass of 250.g, while glider B, coming from the right, has a mass of 500. g. What is the final velocity of the stuck-together pair, and in which direction? (The gliders are constrained to move only along the x-axis. Ignore friction.) Show your work completely b. Using the values above (both given...
A) Describe what you think will happen if two cars of equal mass collide with each...
A) Describe what you think will happen if two cars of equal mass collide with each other but do not stick together. What roles do their respective speeds play in your response? Does it matter what their speeds are? (Be specific) B) how can you tell whether a collision is elastic or inelastic? What criteria do you use?
Two children (m = 28.0 kg each) stand opposite each other on the edge of a...
Two children (m = 28.0 kg each) stand opposite each other on the edge of a merry-go-round. The merry-go-round, which has a mass of 1.62 ✕ 102 kg and a radius of 1.2 m, is spinning at a constant rate of 0.48 rev/s. Treat the two children and the merry-go-round as a system. (a) Calculate the angular momentum of the system, treating each child as a particle. (Give the magnitude.) kg · m2/s (b) Calculate the total kinetic energy of...
A system consists of two objects that collide in a partially elastic collision. Which two properties...
A system consists of two objects that collide in a partially elastic collision. Which two properties of the system are conserved by the collision? a.) momentum and mass b.) momentum and kinetic energy c.) momentum and mechanical energy d.) mass and kinetic energy Two friends are standing on opposite ends of a canoe. The canoe is at rest with respect to the lake. Then the friend at the north end of the canoe throws a very massive ball to the...
Two projectiles with 50kg mass each are launched in opposite directions towards each other, both at...
Two projectiles with 50kg mass each are launched in opposite directions towards each other, both at an angle of 30 degrees off the horizontal. They both have the same initial velocity of 75m/s and they are separated by a distance of 200m. a.) What is their combined initial kinetic energy? b.) Right before they collide, how high off the ground are they? c.) What is their total momentum here? (both directions) d.) When they collide they stick together and lost...
Two 1.0 metric ton cars crash into each other. Both collide head-on, and each was travelling...
Two 1.0 metric ton cars crash into each other. Both collide head-on, and each was travelling 27 mi/hr when the collision occurred. The wreckage is at rest after the collision. How much thermal energy was gained by the cars and road in the collision? (in case you are worried, these were driverless vehicles with no passengers inside! Recall that a 100 W lightbulb uses up 100 Joules of energy in 1 second. If there was a way that the thermal...
Two tiny objects with equal charges of 83.0
Two tiny objects with equal charges of 83.0
. Two masses travel toward each other across a horizontal, frictionless surface. They collide, resulting in...
. Two masses travel toward each other across a horizontal, frictionless surface. They collide, resulting in 100 Joules of kinetic energy being lost. Below is a list of the known quantities. Mass#1 = 5.00 kg and has an initial velocity of 10.0 m/s to the right and a final velocity of 3.00 m/s to the right. Mass#2 = unknown and has an initial velocity of 4.00 m/s to the left and a final velocity that is unknown. What is the...
ADVERTISEMENT
ADVERTISEMENT
ADVERTISEMENT