Question

In: Physics

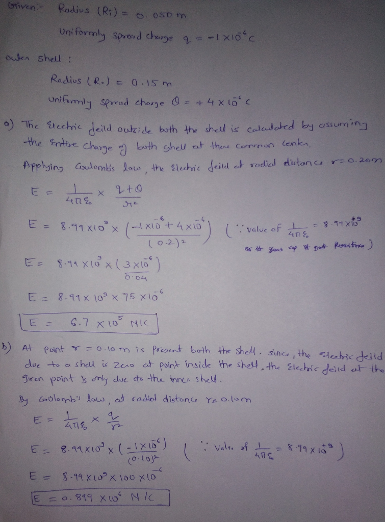
Two spherical shells have a common center. A -1.00 × 10-6 C charge is spread uniformly...

Two spherical shells have a common center. A -1.00 × 10-6 C charge is spread uniformly over the inner shell, which has a radius of 0.050 m. A +4.00 × 10-6 C charge is spread uniformly over the outer shell, which has a radius of 0.15 m. Find the magnitude and direction of the electric field at a distance (measured from the common center) of
(a) 0.20 m,(b) 0.10 m,c) 0.025 m.

Solutions

Expert Solution


Related Solutions

Two spherical shells have a common center. A -2.5  10-6 C charge is spread uniformly over the...
Two spherical shells have a common center. A -2.5  10-6 C charge is spread uniformly over the inner shell, which has a radius of 0.050 m. A +5.7  10-6 C charge is spread uniformly over the outer shell, which has a radius of 0.15 m. Find the magnitude and direction of the electric field at the following distances (measured from the common center). (a) 0.20 m magnitude    ---Select--- N/C C/N N C direction ---Select--- radially inward no direction radially outward (b) 0.10...
Two isolated, concentric, conducting spherical shells have radii R1 = 0.470 m and R2 = 1.00...
Two isolated, concentric, conducting spherical shells have radii R1 = 0.470 m and R2 = 1.00 m, uniform charges q1 = +1.50 μC and q2 = +2.00 μC, and negligible thicknesses. What is the magnitude of the electric field E at radial distance (a) r = 4.70 m, (b) r = 0.610 m, and (c) r = 0.220 m? With V = 0 at infinity, what is V at (d) r = 4.70 m, (e) r = 1.00 m, (f)...
A spherical balloon is initially uncharged. If you spread positive charge uniformly over the balloon's surface...
A spherical balloon is initially uncharged. If you spread positive charge uniformly over the balloon's surface would it expand or contract? What would happen if you spread negative charge instead? According to my TA the correct answer is when it's positive charge it expands and when it's negative charge it contracts. What is the reasoning behind this? Please explain.
Consider a spherical capacitor consisting of two concentric spherical shells of radii R1 and R2 that...
Consider a spherical capacitor consisting of two concentric spherical shells of radii R1 and R2 that carry surface charge densities of σ0 and –σ0, respectively. The capacitor is filled with a linear but inhomogeneous dielectric whose relative permittivity is a function of distance from the center of the sphere εr = εr (r). (a) If energy density inside the capacitor (R1< r < R2) is constant and εr (R2) = 2, find εr (r). (b) Find the polarization P within...
Charge q = + 15 nC is uniformly distributed on a spherical shell that has a...
Charge q = + 15 nC is uniformly distributed on a spherical shell that has a radius of 120 mm. 1. What is the magnitude of the electric field just outside the shell? (Express your answer with the appropriate units.) 2. What is the magnitude of the electric field just inside the shell? (Express your answer with the appropriate units.) 3. What is the direction of the electric field just outside and just inside the shell? a. radially inward just...
A charge of -7.00 nC is spread uniformly over the surface of one face of a...
A charge of -7.00 nC is spread uniformly over the surface of one face of a nonconducting disk of radius 1.30 cm . a) Find the magnitude of the electric field this disk produces at a point P on the axis of the disk a distance of 3.00 cm from its center. b) Suppose that the charge were all pushed away from the center and distributed uniformly on the outer rim of the disk. Find the magnitude of the electric...
A charge of -5.50nC is spread uniformly over the surface of one face of a nonconducting...
A charge of -5.50nC is spread uniformly over the surface of one face of a nonconducting disk of radius 1.00cm Part A Find the magnitude of the electric field this disk produces at a point P on the axis of the disk a distance of 3.00cm from its center. Part B Suppose that the charge were all pushed away from the center and distributed uniformly on the outer rim of the disk. Find the magnitude of the electric field at...
A charge of -8.50nC is spread uniformly over the surface of one face of a nonconducting...
A charge of -8.50nC is spread uniformly over the surface of one face of a nonconducting disk of radius 1.00cm . Part A Find the magnitude of the electric field this disk produces at a point P on the axis of the disk a distance of 2.50cm from its center. ANSWER: E = 9.61?105   N/C   Incorrect; Try Again; 3 attempts remaining Part B Suppose that the charge were all pushed away from the center and distributed uniformly on the outer...
A point charge of -3.00 μC is located in the center of a spherical cavity of...
A point charge of -3.00 μC is located in the center of a spherical cavity of radius 6.90 cmcm inside an insulating spherical charged solid. The charge density in the solid is 7.35 ×× 10−4−4 .C/m3 Calculate the magnitude of the electric field inside the solid at a distance of 9.50 cm from the center of the cavity.
A point charge of -1C is placed in the center of a spherical shell of radius...
A point charge of -1C is placed in the center of a spherical shell of radius R and with surface charge density σ=1C/2πR^2.Calculate the magnitude of the electric field inside and outside the sphere. If a test charge q_0 was placed (inside and outside the sphere), what would be the magnitude of the force it would experience?
ADVERTISEMENT
ADVERTISEMENT
ADVERTISEMENT