Question

In: Chemistry

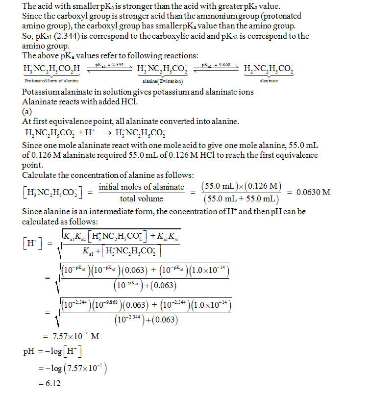
A 55.0 mL solution of 0.126 M potassium alaninate (H2NC2H5CO2K) is titrated with 0.126 M HCl....

A 55.0 mL solution of 0.126 M potassium alaninate (H2NC2H5CO2K) is titrated with 0.126 M HCl. The pKa values for the amino acid alanine are 2.344 (pKa1) and 9.868 (pKa2), which correspond to the carboxylic acid and amino groups, respectively. a) how do you calculate the PH of the first equivalent and b) the second equivalent? please help

Solutions

Expert Solution


Related Solutions

A 65.0 mL solution of 0.118 M potassium alaninate (H2NC2H5CO2K) is titrated with 0.118 M HCl....
A 65.0 mL solution of 0.118 M potassium alaninate (H2NC2H5CO2K) is titrated with 0.118 M HCl. The pKa values for the amino acid alanine are 2.344 (pKa1) and 9.868 (pKa2), which correspond to the carboxylic acid and amino groups, respectively. a) Calculate the pH at the first equivalence point. b) Calculate the pH at the second equivalence point.
A 65.0 mL solution of 0.113 M potassium alaninate (H2NC2H5CO2K) is titrated with 0.113 M HCl....
A 65.0 mL solution of 0.113 M potassium alaninate (H2NC2H5CO2K) is titrated with 0.113 M HCl. The pKa values for the amino acid alanine are 2.344 (pKa1) and 9.868 (pKa2), which correspond to the carboxylic acid and amino groups, respectively. a) Calculate the pH at the first equivalence point b) Calculate the pH at the second equivalence point
A 10.0 mL solution of 0.300 M NH3 is titrated with a 0.100 M HCl solution....
A 10.0 mL solution of 0.300 M NH3 is titrated with a 0.100 M HCl solution. Calculate the pH after the addition of 20.0 mL of the HCl solution. (potentially useful info: Ka of NH4+ = 5.6 x 10−10)
A 10.0−mL solution of 0.570 M NH3 is titrated with a 0.190 M HCl solution. Calculate...
A 10.0−mL solution of 0.570 M NH3 is titrated with a 0.190 M HCl solution. Calculate the pH after the following additions of the HCl solution a)0mL b)10ml c)30mL d)40mL
A 10.0-ml solution of 0.780 M NH3 is titrated with a 0.260 M HCL solution. calculate...
A 10.0-ml solution of 0.780 M NH3 is titrated with a 0.260 M HCL solution. calculate the pH after the following additions of the hcl solution: A. 0.00 B. 10.0 C. 30.0 D. 40.0
A 50.0 mL solution of 0.167 M KOH is titrated with 0.334 M HCl . Calculate...
A 50.0 mL solution of 0.167 M KOH is titrated with 0.334 M HCl . Calculate the pH of the solution after the addition of each of the given amounts of HCl . 0.00 mL pH = 7.00 mL pH = 12.5 mL pH = 19.0 mL pH = 24.0 mL pH = 25.0 mL pH = 26.0 mL pH = 31.0 mL pH =
A 25.00 mL solution of 0.100 M CH3NH2 is titrated with 0.1331 M HCl. What is...
A 25.00 mL solution of 0.100 M CH3NH2 is titrated with 0.1331 M HCl. What is the pH at the equivalence point of the titration? Species (K values) CH3NH2 (Kb = 3.74x10-4) CH3NH3+ (Ka = 2.70x10-11)
A 50.0 mL solution of 0.199 M KOH is titrated with 0.398 M HCl. Calculate the...
A 50.0 mL solution of 0.199 M KOH is titrated with 0.398 M HCl. Calculate the pH of the solution after the addition of the following amounts of HCl. a) 0.00 mL HCl b) 7.00 mL HCl c) 12.5 mL HCl d) 20.0 mL HCl
Given: A 70.0 mL solution of 0.191 M ammonia is titrated with 0.191 M HCl. The...
Given: A 70.0 mL solution of 0.191 M ammonia is titrated with 0.191 M HCl. The pKa for ammonium is 9.3. Question: The titration is basically figuring out what is in the breaker and selecting the correct formula. 1) 0.0mL HCl Added What is in the beaker: __________ What is the formula ? __________ Calculate the numbers: Find the pH. : 2) 25 mL of HCl Added What is in the beaker? _____________ What is the formula: ____________ The numbers...
A solution prepared by mixing 55.0 mL of 0.260 M AgNO3 and 55.0 mL of 0.260...
A solution prepared by mixing 55.0 mL of 0.260 M AgNO3 and 55.0 mL of 0.260 M TlNO3 was titrated with 0.520 M NaBr in a cell containing a silver indicator electrode and a reference electrode of constant potential 0.175 V. The reference electrode is attached to the positive terminal of the potentiometer, and the silver electrode is attached to the negative terminal. The solubility constant of TlBr is Ksp = 3.6 × 10–6 and the solubility constant of AgBr...
ADVERTISEMENT
ADVERTISEMENT
ADVERTISEMENT